Analysis of clinical features of patients with type 2 diabetes mellitus with different levels of glomerular filtration rate
- Authors: Pervyshin N.A.1, Lebedeva E.A.2, Galkin R.A.2, Popova S.I.3, Kudasheva E.A.1
- 
							Affiliations: 
							- Samara City Out-patient Hospital No. 4 in Kirovsky district
- Samara State Medical University
- Samara Regional Clinical Hospital named after V.D. Seredavin
 
- Issue: Vol 22, No 1 (2022)
- Pages: 55-63
- Section: ENDOCRINOLOGY
- Published: 15.02.2022
- URL: https://aspvestnik.ru/2410-3764/article/view/107528
- DOI: https://doi.org/10.55531/2072-2354.2022.22.1.55-63
- ID: 107528
Cite item
Full Text
Abstract
Aim – to improve the dispensary follow-up of patients with type 2 diabetes (DM) by identifying clinical signs, available during examination in the outpatient clinic, that suggest the development of chronic kidney disease (CKD).
Material and methods. A cross-sectional study included a population sample of patients with type 2 diabetes and focused on the clinical indices available during an outpatient consultation. 150 protocols of outpatient consultations were selected using the compliance criteria, including data on 72 clinical indices. The general sample was divided into groups in two ways: by the level of glomerular filtration rate (GFR) and by achieving the goals of glycemic control (calculated parameter delta HbA1c).
Results. The following indices differed most significantly in the groups divided by stages of CKD: gender, age, duration of diabetes and insulin therapy, achievement of target values of glycemic control, blood pressure level, comorbid cardiovascular pathology, pulse on the popliteal artery. In patients with preserved GFR and the early stages of CKD, the fact of unsatisfactory glycemic control was associated with an increase in plasma creatinine and a decrease in GFR, higher blood pressure values. In the advanced stages of CKD, the impact of glycemic control on kidney function was practically absent.
Full Text
Список сокращений
СД – сахарный диабет, ХБП – хроническая болезнь почек, ДН – диабетическая нефропатия, АРМЭ СД – автоматизированное рабочее место эндокринолога для амбулаторного приема пациентов с сахарным диабетом; АД – артериальное давление, САД – систолическое артериальное давление, ДАД – диастолическое артериальное давление, АССЗ – атеросклеротические сердечно-сосудистые заболевания, СКФ – скорость клубочковой фильтрации, ОИМ – острый инфаркт миокарда, HbA1c – гликированный гемоглобин.
Введение
По данным литературных источников, распространенность хронической болезни почек (ХБП) в общей популяции сопоставима с такими социально значимыми заболеваниями, как сахарный диабет (СД), ожирение, атеросклеротические сердечно-сосудистые заболевания (АССЗ); снижение скорости клубочковой фильтрации (СКФ) выявляется почти у каждого десятого человека [1]. Высокая общественная значимость ХБП была отмечена в резолюции ООН от 2017 года в качестве одной из целей по сокращению преждевременной смертности от неинфекционных заболеваний к 2030 году [2].
ХБП представляет собой наднозологическое понятие, определяющее поражение почек вследствие действия различных этиологических факторов, патогенетической основой которого является процесс замещения нормальных анатомических структур фиброзом, приводящий к дисфункции. Отсюда следует приоритетная цель лечения ХБП – раннее выявление признаков развивающейся дисфункции, что позволяет своевременно назначить нефропротективные препараты и предупредить прогрессирование процесса до терминальных стадий [3].
Особенностью поражения почек при СД 2 типа является его патогенетическая гетерогенность. Важную роль в развитии диабетической нефропатии (ДН) играет множественная коморбидная патология: сопутствующая артериальная гипертензия (АГ), АССЗ, ожирение, острые сосудистые события и др. [4]. Этим обусловлена очевидная необходимость поиска ранних объективных клинических индикаторов, способных определить изменения в почках на доклинических стадиях ХБП [5]. Важным прикладным аспектом является доступность таких индикаторов на амбулаторном этапе лечения.
Цель исследования
Повышение эффективности диспансерного наблюдения пациентов с СД 2 типа путем выявления доступных на амбулаторном этапе клинических признаков, взаимосвязанных с развитием диабетической нефропатии.
Материалы и методы
Дизайн исследования: cross-sectional survey – перекрестное наблюдательное исследование общеклинических показателей, доступных на амбулаторном приеме, в популяционной выборке пациентов с СД 2 типа в конкретный момент времени.
В соответствии с критериями соответствия из базы данных АРМЭ СД [6] отобраны 150 амбулаторных консультаций пациентов с СД 2 типа за период с января по декабрь 2021 года. АРМЭ СД – программа для ЭВМ, которая обеспечивает сбор, систематизацию и сохранение первичных медицинских данных пациента непосредственно во время амбулаторного приема [7]. Матрица формализованного протокола [8] консультации АРМЭ СД охватывает 72 общеклинических показателя, которые были разделены на 2 группы. Первая группа – количественные показатели: анамнестические (давность событий), антропометрические, гемодинамические, лабораторные, самоконтроль гликемии и АД, доза инсулина (в Ед.), доза пероральных сахароснижающих препаратов (в % от максимальной терапевтической дозы). Вторая группа – номинальные показатели: наличие и стадия отдельных хронических осложнений СД и коморбидной патологии, применение гипотензивной терапии и количество принимаемых пациентом препаратов по отдельным классам.
Анамнестические показатели учитывались с использованием данных АРМЭ СД, определяющих давность наступления следующих событий (в годах на момент консультации): манифестация СД, начало инсулинотерапии, артериальная гипертензия, острый инфаркт миокарда, ОНМК, лазеркоагуляция сетчатки. Диагнозы «диабетическая полинейропатия» и/или «хроническое нарушение кровообращения нижних конечностей», «ожирение», «дислипидемия» учитывались как качественные (наличие/отсутствие в анамнезе) или номинальные параметры (стадия процесса). Учитывались актуальные и ретроспективные данные о медикаментозном лечении СД (инсулин с указанием дозы, год начала приема, пероральные сахароснижающие препараты отдельных групп (сульфонилмочевина, бигуаниды, и-ДПП4, и-SGLT2 с указанием % от максимальной дозы); а также данные о гипотензивной терапии (прием препаратов из групп ингибиторов АПФ или блокаторов рецепторов к ангиотензину, бета-блокаторов, антагонистов кальциевых каналов, диуретиков).
Характеристика группы участников. Объектом исследования являлись пациенты с СД 2 типа, при амбулаторном приеме которых применялось программное обеспечение АРМЭ СД. Критерии включения: пациенты с СД 2 типа в возрасте более 18 лет, в формализованном протоколе консультации которых заполнены поля показателей креатинина и HbA1c, а также не менее 75% общеклинических параметров, используемых при анализе результатов; уровень СКФ находится в диапазоне 15–150 мл/мин/1,73м2. Критерии исключения: СД 1 типа, острые осложнения СД 2 типа (гипогликемия, кетоацидоз), обострение интеркуррентной патологии на момент консультации, терминальная стадия ХБП (СКФ <15 мл/мин/1,73м2).
Описательная статистика участников представлена в таблице 1.
Таблица 1 / Table 1
Клиническая характеристика генеральной выборки исследования факторов, взаимосвязанных с развитием диабетической нефропатии у пациентов с СД 2 типа
Clinical presentation of the general sample - factors associated with the development of diabetic nephropathy in patients with type 2 diabetes
| Участники, n | 150 | 
| Пол (м/ж), n (%) | 44 (29,3%) / 106 (70,7%) | 
| Из них на инсулинотерапии, n (%) | 109 (72,7%) | 
| Средний возраст, лет | 64,84 ± 8,57 | 
| Стаж СД, лет | 11,80 ± 7,80 | 
| ИМТ, кг/м2 | 31,80 ± 5,70 | 
| HbA1c, % | 8,78 ± 2,70 | 
| Креатинин, мкмоль/л | 92,66 ± 29,25 | 
| СКФ CKD-EPI (мл/мин/1,73 м2) | 72,16 ± 22,38 | 
Статистический анализ данных. Выгрузку первичного материала из базы данных АРМЭ СД по сформированным запросам осуществляли в файл Microsoft Excel. Для последующего статистического анализа использовали специализированное программное обеспечение: SPSS 25.0 (IBM Corporation, Armonk, New York, USA). Номинальные признаки предварительно кодировали числами и присваивали им соответствующие метки.
Проверка нормальности распределения осуществлялась по критериям Шапиро – Уилка и Колмогорова – Смирнова. Применяли как параметрические, так и непараметрические методы анализа. Описательная статистика для количественных признаков представлена средним и среднеквадратическим отклонением (M±SD) либо (в случае больших отклонений от нормальности) медианой и квартилями (Me ([Q1; Q3]). Номинальные признаки представлены числом наблюдений и процентом от размера группы.
Для сравнения количественных признаков в группах применяли критерии Манна – Уитни, Стьюдента, однофакторный дисперсионный анализ и анализ Краскела – Уоллиса. Частоты номинальных признаков сравнивались между собой с помощью критерия Хи-квадрат (χ2) и двустороннего критерия Фишера. Методом корреляционного анализа Спирмена определена теснота взаимосвязей общеклинических показателей.
Для всех видов анализа результаты считали статистически значимыми при р<0,05.
Концепция исследования предусматривала 3 этапа. На первом этапе генеральная выборка пациентов была распределена на три параллельные группы по классической методике в зависимости от уровня СКФ, соответствующего разным стадиям ХБП. Группа А – контрольная, без ХБП (СКФ ≥ 90 мл/мин/1,73м2), группа Б – ранние стадии ХБП 1-3а ст. (СКФ 89–45 мл/мин/1,73м2) и группа В – поздние стадии ХБП 3б-4 ст. (СКФ 15–44 мл/мин/1,73м2). Принцип разделения общей выборки на группы учитывал регламент диспансерного наблюдения: динамический мониторинг ХБП пациентов групп А и Б осуществляется в муниципальных поликлиниках; группы В – в нефрологических центрах. Основной задачей первого этапа являлось определение и сравнение структуры распространенности общеклинических показателей у пациентов с СД 2 типа на разных стадиях ХБП.
На втором этапе выборка была распределена на две параллельные группы по уровню достижения целевых значений гликемического контроля. Параметр delta HbA1c рассчитан как разница между целевым уровнем и реальным значением HbA1c на момент консультации. Группа А – хороший гликемический контроль (delta HbA1c≤1%), группа Б – неудовлетворительный гликемический контроль (delta HbA1c>1%). Основной задачей второго этапа было уточнение влияния компенсации СД на основные проявления ХБП.
На третьем этапе методом корреляционного анализа определена теснота взаимосвязей между клиническими показателями и переменными исхода: абсолютным уровнем СКФ и уровнем delta HbA1c, выполнена оценка значимости различий для количественных показателей.
Результаты
- Сравнение количественных признаков выполнено в трех параллельных группах пациентов разных стадий ХБП. Результаты представлены в таблице 2.
Таблица 2 / Table 2
Статистическая значимость различий количественных признаков в группах с различным уровнем СКФ
Statistically significant differences in quantitative characteristics in groups with different GFR levels
Значимые различия в группах разного СКФ продемонстрировали следующие количественные признаки: возраст; САД в офисе; гликемия на приеме; HbA1c; креатинин; САД дома; ДАД дома; самоконтроль гликемии от; стаж СД на момент консультации; стаж инсулинотерапии; давность события ОНМК; delta HbA1c; общая доза инсулина. Была отмечена слабая значимость различий по показателям «ИМТ» (р K-W=0.073) и «гликемия на приеме» (p K-W=0,103). При этом часть признаков продемонстрировала разнонаправленный тренд по стадиям прогрессирования ХБП: самоконтроль гликемии от 8,30±2,57 (ХБП 0), р<0,02; 6,46±2,81 (ХБП 1-3а), р=0,061; 8,48±7,44 (ХБП 3б-4) р=0,415; стаж инсулинотерапии 7,69±6,38 (ХБП 0) р<0,001; 3,60±4,39 (ХБП 1-3а) р=0,33; 8,82±5,84 (ХБП 3б-4) р<0,001; общая доза инсулина 55,41±20,66 (ХБП 0) р<0,001; 37,71±20,98 (ХБП 1-3а) р=0,839; 53,83±22,23 (ХБП 3б-4) р=0,08.
Анализ динамики изменений «домашней» гликемии пациентов (показателей самоконтроля) позволяет сделать предположение о том, что на ранних (начальных) стадиях течения СД в целом пациенты не достигают терапевтических целей углеводной компенсации. Причинами этого являются лабильное течение СД и недостаточная комплаентность пациента. При выраженных стадиях ХБП уровень гликемии ухудшается вследствие декомпенсации обменных и гемодинамических процессов. Интересно, что многие количественные показатели, у которых выявлен разнонаправленный тренд по стадиям ХБП, имеют отношение именно к углеводному обмену. Этот факт послужил причиной для углубленного исследования факторов, влияющих на достижение целевых значений HbA1c у пациентов с ХБП.
Сравнение долей номинальных признаков и оценка значимости различий представлены в таблице 3.
Таблица 3 / Table 3
Статистическая значимость различий номинальных признаков в группах с различным уровнем СКФ
Statistically significant differences in nominal characteristics in groups with different levels of GFR
Среди номинальных признаков значимые различия показали следующие: пол; гипогликемия ночью; гипогликемия днем; инсулин в As; ПССП в As; ОИМ в As; ЛКС в As; пульс на подколенной артерии; пульс на лодыжечной артерии; Ds ретинопатии; стадия полинейропатии нижних конечностей; группа риска АГ; Ds ЭКО; лечение СД (метформин); лечение АГ; БРА; антагонист кальция; диуретик; всего гипотензивных препаратов (количество). Это подтверждает значимость взаимо-связи между анамнестическими и медикаментозными факторами и стадией ХБП. Были отмечены номинальные показатели, показавшие разнонаправленный тренд по стадиям развития ХБП: ОИМ в As; лечение СД (метформин); лечение АГ; БРА; антагонист кальция; диуретик; всего гипотензивных препаратов.
Интересные результаты были получены при анализе динамики значимости различий между отдельными группами пациентов на разных стадиях ХБП (многие клинические показатели имеют значимые различия между группами ХБП0 и ХБП 1-3а, при этом при сравнении групп ХБП 1-3а и ХБП 3б-4 такие различия не выявляются). Это позволяет сделать предположение о различном влиянии отдельных показателей по мере прогрессирования заболевания.
- Для сравнительной оценки влияния гликемических и гемодинамических факторов на развитие ДН генеральная выборка была разделена на две параллельные группы по принципу достижения терапевтических целей гликемического контроля. Определена значимость различий в группах с удовлетворительным (delta HbA1c ≤1%) и неудовлетворительным delta HbA1c >1%) гликемическим контролем, представленные в таблице 4.
Таблица 4 / Table 4
Статистическая значимость различий количественных признаков в группах с различным уровнем достижения целевых значений HbA1c
Statistically significant differences in quantitative characteristics in groups with different levels of achievement of HbA1c target values
Отмечено отсутствие значимых различий по субъективному показателю «самоконтроль гликемии от» (р=0,111), при этом более объективные показатели углеводного обмена («гликемия на приеме», р<0,001; HbA1c, р<0,001) продемонстрировали уверенные различия. В группе с неудовлетворительным гликемическим контролем (delta HbA1c > 1%) отмечены более высокий ИМТ, уровень креатинина (соответственно низкая СКФ), более длительный период приема инсулина с большей дозировкой. Интересно, что ИМТ показал значимые различия в группах гликемического контроля, но не проявил их в группах по уровню СКФ. Возможно, что ИМТ как общепризнанный фактор риска ХБП оказывает влияние на развитие ДН опосредованно, ухудшая гликемический контроль.
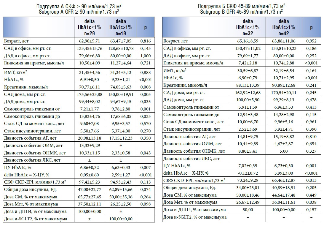
Чтобы точнее определить закономерности динамики процесса развития ДН, выполнена оценка значимости различий количественных признаков в группах гликемической компенсации СД, разделенных на отдельные подгруппы по уровню СКФ (таблица 5).
Таблица 5 / Table 5
Статистическая значимость различий количественных признаков в группах гликемического контроля по подгруппам с различным уровнем СКФ
Statistically significant differences in quantitative characteristics in glycemic control groups by subgroups with different GFR levels
В группе пациентов с сохраненной СКФ более 90 мл/мин отмечаются достоверные различия между показателями гликемического контроля (Нв А1С, delta Нв А1С, гликемия на приеме и при самоконтроле), при этом были найдены достоверно более высокие значения креатинина у плохо компенсированных пациентов, а также достоверные различия в САД и ДАД. У пациентов со сниженной СКФ 45–89 мл/мин при плохой компенсации диабета отмечается достоверное снижение СКФ, при этом значения САД и ДАД аналогичны в обеих группах. В третьей группе, которая объединила лиц с развернутой ХБП с СКФ 15–44 мл/мин, значение компенсации диабета нивелируется, при этом цифры креатинина и СКФ достоверно не отличаются, а значения САД и ДАД остаются одинаково высокими. При этом ни на одной из стадий ХБП между группами хорошего и неудовлетворительного гликемического контроля не выявлено значимых различий по гемодинамическим показателям, анамнестическим факторам сопутствующих АССЗ, а также применяемым медикаментозным препаратам.
- На третьем этапе проведен корреляционный анализ между переменными исхода ХБП (уровнем СКФ, delta HbA1c), стажем СД и стажем инсулинотерапии и отдельными количественными признаками у пациентов СД. Результаты корреляционного анализа представлены в таблице 6. Наиболее значимые корреляции отмечены курсивом.
Таблица 6 / Table 6
Корреляционный анализ между переменными исхода (уровень СКФ, delta HbA1c), стажем СД и стажем инсулинотерапии и отдельными количественными признаками
Correlation analysis of outcome variables (GFR level, delta HbA1c), DM history and insulin therapy experience, and particular quantitative signs
Найдена отрицательная корреляция между СКФ и возрастом пациентов, стажем диабета, неудовлетворительной компенсацией СД, уровнями САС и ДАД, измеренного дома и в офисе. Эти результаты подтверждают ухудшение функции почек с возрастом, увеличением стажа диабета, при плохом гликемическом контроле и наличии гипертонии. Отрицательная корреляция с давностью перенесенного ОНМК также косвенно свидетельствует о влиянии гемодинамических изменений атеросклеротического генеза на функцию почек.
Неудовлетворительный гликемический контроль (повышение delta HbA1c) положительно связан с ИМТ, абсолютными значениями креатинина и отрицательно с СКФ, что свидетельствует о вкладе гипергликемии и избыточной массы тела в снижение функции почек.
Стаж инсулинотерапии положительно коррелирует с длительностью диабета, общей дозой инсулина, уровнем САД. Эти наблюдения подтверждают тот факт, что СД имеет прогрессирующее течение, ухудшается функция бета-клеток, что приводит к потребности в инсулине. В свою очередь инсулинотерапия связана с повышением массы тела. С течением времени потребность в инсулине повышается. Кроме того, стаж инсулинотерапии коррелирует с давностью лазерной коагуляции сетчатки, что также не вызывает сомнений: гипергликемия признана ведущим фактором патогенеза диабетической ретинопатии, а процедура лазеркоагуляции проводится на продвинутых стадиях осложнения.
В нашем исследовании единственным показателем, продемонстрировавшим взаимосвязь с СКФ и практически со всеми другими клиническими проявлениями ХБП, является стаж диабета. Именно он, по-видимому, определяет дефект почечной функции, который мы оцениваем как ХБП. Показатель «стаж диабета» может быть использован в расчете индекса скорости снижения клубочковой фильтрации, который может иметь большое прогностическое значение.
Обсуждение
Анализ результатов первого этапа исследования при делении групп выборки по уровню СКФ позволил сформировать подробный клинический портрет пациента с СД 2 типа на разных стадиях ХБП. Многообразие общеклинических факторов, влияющих на развитие ХБП, важность которых количественно определена в настоящем исследовании, отражает практически все значимые патогенетические механизмы поражения почек: антропометрические, гемодинамические, связанные с нарушением углеводного обмена, сосудистыми осложнениями, а также с сопутствующими заболеваниями (АГ и ожирение). Полученные данные в целом подтверждают результаты других международных и отечественных исследований ХБП [9, 10].
При оценке значимости различий между группами пациентов разных стадий ХБП была выявлена интересная особенность: часть клинических параметров показывает значимые различия на ранних стадиях ХБП, при этом на поздних стадиях развития процесса эти различия не определяются. Этот факт послужил поводом для предположения о разном влиянии клинических показателей по мере прогрессирования ХБП. В том числе был отмечен разнонаправленный тренд отдельных значимых показателей гликемического контроля.
Для изучения клинических механизмов явления на втором этапе выполнен анализ факторов, влияющих на достижение целевых значений HbA1c в группах с разным уровнем СКФ. Результаты второго этапа исследования при делении выборки на группы по уровню достижения целевых значений HbA1c в подгруппах с различным уровнем СКФ позволили сделать заключение об отсутствии прямой причинно-следственной взаимосвязи между компенсацией углеводного обмена и факторами, оказывающими прямое влияние на развитие ДН на всех стадиях процесса. Это позволяет выдвинуть предположение о приоритетном влиянии гемодинамических факторов (наличие события АГ, острые сердечно-сосудистые события в анамнезе и сопутствующая хроническая коморбидная патология) на процесс развития ХБП при меньшей роли гликемического контроля СД. Эта гипотеза косвенно подтверждается данными актуального отечественного исследования, в котором было отмечено, что у пациентов, перенесших инфаркт миокарда (острое сосудистое событие) в трудоспособном возрасте, факт наличия СД 2 типа (фактор хронической гипергликемии) не оказывает самостоятельного негативного влияния на отдаленный прогноз ОИМ, но длительность СД усугубляет тяжесть течения постинфарктного периода (p=0,004) [11]. Идентичные данные о значимости гемодинамических, анамнестических и гликемических факторов в развитии ХБП были получены в крупнейшем международном исследовании Nelson [9], АССЗ – ОШ=1,21; наличие АГ – ОШ=1,44; инсулинотерапия – ОШ=1,11, при этом наименьшее влияние было отмечено именно для гликемического контроля HbA1c – ОШ=1,06. В отечественном ретроспективном исследовании О.К. Викуловой [10], выполненном в НМИЦ Эндокринологии на основании данных ФРСД в 2021году, результаты ROC-анализа для абсолютного значения HbA1c у пациентов с СД 2 типа и ХБП продемонстрировали, что AUC показателя составил 0,550, что свидетельствует о приемлемой, но невысокой диагностической точности данного фактора; при пороговом значении HbA1c=7,3%, ОШ составляло 1,55 [1, 44; 1, 67], р < 0,001.
Целью третьего этапа исследования было выявление и клиническая интерпретация наиболее значимых клинических факторов, влияющих на развитие ХБП при СД 2 типа, которые могли бы рассматриваться как предикторы нарушения почечной функции. Было выявлено, что почти все клинические показатели, показавшие значимые различия в группах по уровню СКФ, тесно взаимосвязаны со стажем СД. Анализ результатов, полученных при анализе взаимосвязей клинических факторов, привел к выводу о том, что для получения точного представления о развитии ДН при СД 2 типа недостаточно точного статичного описания клинических показателей по стадиям ХБП. Необходимо определить факторы, которые оказывают наиболее мощное влияние на динамику процесса, а также дать их аргументированное обоснование с точки зрения патогенеза. Возможно, одним из перспективных путей решения такой задачи может стать разработка интегрального показателя, характеризующего темп прогрессирования процесса на разных стадиях ХБП.
Выводы
- Выявлены наиболее значимые клинические признаки, доступные на амбулаторном приеме, которые связаны с развитием ХБП у пациентов СД 2 типа. К ним относятся пол, возраст, длительность заболевания СД и инсулинотерапии, достижение целевых значений гликемического контроля, уровень АД, перенесенный ОИМ, снижение или отсутствие пульсации на магистральных артериях. Выявлен разнонаправленный тренд отдельных показателей, в том числе гликемического контроля, по стадиям ХБП.
- При сохраненной СКФ и на ранних стадиях ХБП факт неудовлетворительного гликемического контроля связан с повышением креатинина плазмы и снижением СКФ, более высокими цифрами САД и ДАД. При развернутых стадиях ХБП влияние гликемического контроля на функцию почек практически утрачивается.
- Стаж диабета является основным показателем, коррелирующим с основными клиническими проявлениями ХБП при СД. Разработка индекса снижения СКФ на основе стажа диабета может иметь большое прогностическое значение.
Конфликт интересов: авторы заявляют об отсутствии конфликта интересов, требующего раскрытия в данной статье.
About the authors
Nikolai A. Pervyshin
Samara City Out-patient Hospital No. 4 in Kirovsky district
							Author for correspondence.
							Email: depoanalgin@yandex.ru
				                	ORCID iD: 0000-0002-9609-2725
				                	SPIN-code: 1484-3920
							Scopus Author ID: 57206472271
											                								
high level certificate endocrinologist
Russian Federation, SamaraElena A. Lebedeva
Samara State Medical University
														Email: endocrinolog63@mail.ru
				                	ORCID iD: 0000-0001-6494-3778
				                																			                								
PhD, Professor, Department of Hospital therapy with a course of outpatient care and transfusiology
Russian Federation, SamaraRudolf A. Galkin
Samara State Medical University
														Email: rg576@mail.ru
				                	ORCID iD: 0000-0003-3665-3161
				                																			                								
PhD, Professor, Department of Surgical Diseases No. 1
Russian Federation, SamaraSvetlana I. Popova
Samara Regional Clinical Hospital named after V.D. Seredavin
														Email: doctorspopova@yandex.ru
				                	ORCID iD: 0000-0002-6035-8114
				                																			                								
high level certificate nephrologist
Russian Federation, SamaraElena A. Kudasheva
Samara City Out-patient Hospital No. 4 in Kirovsky district
														Email: Elena.kudasheva71@mail.ru
				                					                																			                								
high level certificate general practitioner, Head of the Polyclinic department No. 2
Russian Federation, SamaraReferences
Supplementary files
 
				
			 
					 
						 
									
 
  
  
  Email this article
			Email this article 







