An approach to standardization of licorice herb (Glycyrrhiza glabra L.)
- Authors: Belova O.A.1, Kurkin V.A.1, Smirnova E.A.1, Egorov M.V.1
-
Affiliations:
- Samara State Medical University
- Issue: Vol 23, No 2 (2023)
- Pages: 53-59
- Section: PHARMACEUTICAL CHEMISTRY, PHARMACOGNOSY
- Published: 16.06.2023
- URL: https://aspvestnik.ru/2410-3764/article/view/112144
- DOI: https://doi.org/10.55531/2072-2354.2023.23.2.53-59
- ID: 112144
Cite item
Full Text
Abstract
Aim – to develop a method for standardization of licorice herb.
Material and methods. The material for the study was licorice herb harvested in Alekseevka settlement of the Samara Region (2021), Tatarskaya Kargala village of Sakmarskiy area of the Orenburg Region (2017), Derzhavinsk city of the Republic of Kazakhstan (2018), Bol'shaya Chernigovka village of Bol'shchernigovsk area of the Samara Region (2019), and a commercial sample of licorice root raw material from AO "Krasnogorskleksredstva". In addition, the reference standards (RS) were used: pinostrobin, licuraside, quercetin, rutin, luteolin and glycyram. The authenticity was determined by the thin layer chromatography (qualitative analysis). For the quantitative analysis, we used the differential spectrophotometry, conducted in accordance with Pharmacopoeial monograph 1.2.1.1.0003.15 "Spectrophotometry in ultraviolet and visible spectra". The spectral characteristics of water-alcohol extracts were evaluated on spectrophotometer "Specord 40" (Analytik Jena AG, Germany).
Results. The dominant flavonoid substance, pinocembrin, was detected. This compound in chloroform-ethanol (4:1) solvent system had blue fluorescence at 365 nm. During the development of the chromatogram with an alkaline solution of diazobenzene sulphonic acid, a light green stain (pinoсembrin) was detected practically at the level of the pinostrobin stain. It is reasonable to determine the diagnostic flavonoid pinocembrin of licorice herb using pinostrobin as the reference standard. The flavonoids pinocembrin and pinostrobin have similar spectral characteristics and are similar in chemical structure. A method has been developed for quantitative determination of the total flavonoids in terms of pinocembrin in water-ethanol extract of licorice herb (Glycyrrhiza glabra L.) using the differential spectrophotometry. The total flavonoid content in the licorice herb varies from 0.39±0.002% to 3.48±0.015% (in terms of pinocembrin).
Full Text
Список сокращений
ГЛРС – Государственный реестр лекарственных средств; ЛС – лекарственное средство; ТСХ – тонкослойная хроматография; СО – стандартный образец; ДСК – диазобензолсульфокислота.
ВВЕДЕНИЕ
В настоящее время род Солодка (Glycyrrhiza L.) насчитывает более 30 видов [1–4]. Из них фармакопейными растениями являются только солодка голая (Glycyrrhiza glabra L.) и солодка уральская (Glycyrrhiza uralensis Fish.) [5], которые с 1778 года разрешены в России для использования в медицинской практике [6]. Согласно ГФ РФ XIV издания, применяются корни солодки – ФС.2.5.0040.15 «Солодки корни» [5].
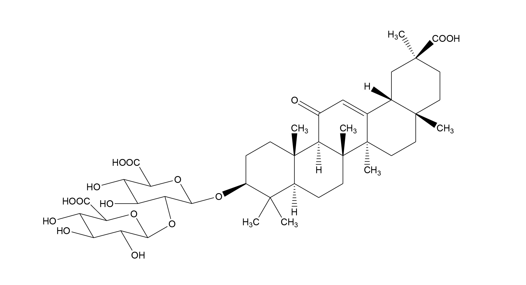
В соответствии с данными Государственного реестра лекарственных средств (ГРЛС) зарегистрировано более 40 ЛС на основе корней солодки [7], которые обладают широким спектром фармакологической активности и применяются в качестве противовоспалительных, отхаркивающих, антигистаминных, иммуномодулирующих, противоязвенных средств [8–11]. Многочисленными исследованиями химического состава корней показано, что одной из ведущих групп БАС являются тритерпеновые сапонины, среди которых доминирует глицирризиновая кислота (рисунок 1) [12, 13].
Рисунок 1. Структурная формула глицирризиновой кислоты.
Также к основным БАС относят флавоноиды, главным из которых является халкон ликуразид (рисунок 2) [12].
Рисунок 2. Структурная формула ликуразида.
При промышленной заготовке корней надземная часть солодки не используется, в результате чего образуется значительное количество растительных отходов. Известно, что трава солодки содержит ряд биологически активных веществ, полисахариды, дубильные вещества, флавоноиды, тритерпеноиды, витамины и др. Доминирующим флавоноидом надземной части является пиноцембрин [14, 15], обладающий противовоспалительным, антипролиферативным, антиоксидантным действием и антибактериальной активностью [16].
Пиноцембрин (рисунок 3), выделенный из этанольного экстракта листьев, проявил ингибирующие свойства на жизнеспособность раковых клеток пяти линий HeLa, MCF-7, MDA-MB-231, Caco-2 и PC3 [16].
Рисунок 3. Структурная формула пиноцембрина.
Пиноцембрин, выделенный методом колоночной хроматографии из листьев солодки голой, показал антиоксидантные свойства [17]. Водно-спиртовой экстракт травы солодки голой обладает бактерицидной активностью выше, чем у амикацина, в отношении Pseudomonas aeruginosa [18]. Флавоноиды из травы солодки голой снижают побочные эффекты при химиотерапии и лучевой терапии [19]. Также была подтверждена противовоспалительная активность экстракта надземной части, в основе которого лежит модуляция NF-kB/MAPK. Противовоспалительный эффект обусловлен наличием пиноцембрина, глабранина и ликофлавона [20].
На основе суммы флавоноидов надземной части солодки разработан препарат «Глацембрин» в виде твердой лекарственной формы – таблеток, который обладает противовоспалительным действием [14]. Описана методика количественного определения суммы флавоноидов травы солодки голой методом прямой спектрофотометрии в пересчете на пиноцембрин [14]. На наш взгляд, данная методика может давать завышенные результаты определения, так как при аналитической длине волны 290 нм вклад в оптическую плотность вносят и другие фенольные соединения. Кроме того, многократная экстракция (3 раза) сырья не всегда является оправданной, так как в этих условиях возрастает вероятность ошибки методики анализа.
ЦЕЛЬ
Усовершенствование подходов к стандартизации травы солодки голой.
МАТЕРИАЛ И МЕТОДЫ
Материалом исследования служила трава солодки голой, заготовленная в пгт. Алексеевка Самарской области (2021 г.), Ботаническом саду Самарского университета (2021 г.), с. Татарская Каргала Сакмарского района Оренбургской области (2017 г.), г. Державинске Республики Казахстан (2018 г.), с. Большая Черниговка Большечерниговского района Самарской области (2019 г.), а также промышленный образец сырья корни солодки АО «Красногорсклексредства». Кроме того, использовались стандартные образцы (СО): пиностробин, ликуразид, кверцетин, рутин, лютеолин и глицирам.
Тонкослойную хроматографию (ТСХ) осуществляли с использованием хроматографических пластинок «Сорбфил ПТСХ-АФ-А-УФ», капиллярами LactatProfi3000 наносили 0,02 мл водно-спиртовых извлечений. Рядом наносили 0,01 мл растворы СО пиностробина, ликуразида, кверцетина, рутина, лютеолина и глицирама. Определение проводили в системе хлороформ – этанол (4:1). Хроматографическую пластинку помещали в камеру, которую предварительно насыщали в течение 60 минут смесью растворителей и хроматографировали восходящим способом.
Полученную хроматограмму просматривали при дневном свете, в УФ-свете при λ=365 нм и при λ=254 нм с помощью ультрафиолетового облучателя УФО-254/365 (Петролазер, Россия). Детекцию проводили щелочным раствором диазобензолсульфокислоты (ДСК) и 3% спиртовым раствором алюминия хлорида (AlCl3).
В качестве количественного метода анализа использована дифференциальная спектрофотометрия, проведенная в соответствии с ОФС.1.2.1.1.0003.15 «Спектрофотометрия в ультрафиолетовой и видимой областях» [5]. Спектральные характеристики водно-спиртовых извлечений оценивали на спектрофотометре Specord 40 (Analytik Jena AG, Германия) в кюветах с толщиной слоя 10 мм.
РЕЗУЛЬТАТЫ И ИХ ОБСУЖДЕНИЕ
Исследование, проведенное методом ТСХ, показало, что на хроматограмме водно-спиртового извлечения травы солодки голой и в спиртовом извлечении вещества из травы солодки голой методом препаративной ТСХ доминирующим компонентом является пиноцембрин (рисунок 4).
Рисунок 4. ТСХ-хроматограмма водно-спиртового извлечения корней и травы солодки голой (Glycyrrhiza glabra L.) в системе растворителей хлороформ – этанол (4:1): А – детекция в видимом свете; B – детекция в УФ-свете при длине волны 365 нм; C – детекция в УФ-свете при длине волны 365 нм после обработки спиртовым раствором хлорида алюминия (AlCl3); D – детекция после обработки раствором диазобензолсульфокислоты (ДСК).
Обозначения: 1 – водно-спиртовое извлечение корней солодки голой, полученное на 70% этиловом спирте; 2 – водно-спиртовое извлечение травы солодки голой, полученное на 70% этиловом спирте; 3 – 96% спиртовое извлечение вещества из травы солодки голой, полученное методом препаративной ТСХ; 4 – СО пиностробина; 5 – СО ликуразида; 6 – СО кверцетина; 7 – СО глицирама; 8 – СО рутина; 9 – СО лютеолина.
Данный флавоноид при длине волны 365 нм имеет голубую флуоресценцию. Нами предложен вариант подтверждения диагностического флавоноида пиноцембрина травы солодки голой с использованием в методике СО пиностробина. Флавоноиды пиноцембрин (рисунок 3) и пиностробин (рисунок 5) имеют схожие спектральные характеристики и близки по химическому строению [13].
Рисунок 5. Структурная формула пиностробина.
При последующем проявлении хроматограммы щелочным раствором диазобензолсульфокислоты на уровне пятна пиностробина обнаруживается пятно светло-зеленого цвета.
По литературным данным, основным флавоноидом в траве солодки голой является пиноцембрин (рисунок 3) [14], имеющий максимум поглощения в УФ-спектре при длине волны 290±2 нм. По нашему мнению, именно пиноцембрин в целом определяет характер кривой поглощения водно-спиртового извлечения из травы солодки голой (рисунок 6).
Рисунок 6. Электронные спектры водно-спиртового извлечения из травы солодки голой: 1 – исходный раствор; 2 – раствор с добавлением алюминия хлорида.
Как отмечалось ранее, была рассмотрена возможность использования в качестве СО пиностробин. При изучении электронных спектров растворов пиноцембрина и пиностробина выяснилось, что они имеют одинаковый максимум поглощения при длине волны 290 нм (прямая спектрофотометрия) [21].
Спектральная характеристика комплекса пиностробина с алюминием хлорида в условиях дифференциальной спектрофотометрии в УФ-спектре наблюдается характерный для флаванонов батохромный сдвиг в длинноволновом спектре максимума поглощения в области 310 нм (рисунки 7, 8) [21].
Рисунок 7. Электронные спектры спиртовых растворов пиностробина: 1 – исходный раствор; 2 – раствор с добавлением алюминия хлорида.
Рисунок 8. Электронный спектр спиртового раствора пиностробина (дифференциальный спектр).
При этом определено, что дифференциальная спектрофотомерия по коротковолновому максимуму поглощения водно-спиртового извлечения из травы солодки голой находится при длине волны 310 нм (рисунок 9).
Рисунок 9. Электронный спектр раствора водно-спиртового извлечения из травы солодки голой (дифференциальный спектр).
В качестве аналитической длины волны 310 нм при использовании СО пиностробина нами осуществляется пересчет содержания суммы флавоноидов на пиноцембрин путем введения в формулу расчета коэффициента. При отсутствии СО пиностробина используется теоретическое значение удельного поглощения пиностробина, установленное нами экспериментально.
В процессе разработки методики количественного определения изучено влияние условий экстракции на выход флавоноидов при получении водно-спиртового извлечения из травы солодки голой. В результате подобраны оптимальные условия извлечения действующих веществ из растительного сырья: экстрагент – 90% этиловый спирт, степень измельчения – 2 мм, соотношение сырье – экстрагент – 1:50, однократная экстракция – 60 мин (таблица 1).
Таблица 1 / Table 1
Влияние условий экстракции на извлечение суммы флавоноидов из водно-спиртового извлечения из травы солодки голой
Influence of extraction conditions on the extraction of the total flavonoid from an aqueous-alcoholic extraction of Glycyrrhiza glabra L. herbs
Концентрация экстрагента – этилового спирта, % | Соотношение сырье – экстрагент | Время экстракции, мин | Степень измельчения сырья, мм | Содержание суммы флавоноидов в пересчете на пиноцембрин и абсолютно сухое сырье, % |
50 | 1:50 | 60 | 2 | 1,46±0,006 |
60 | 1,23±0,005 | |||
70 | 1,21±0,031 | |||
80 | 1,86±0,005 | |||
90 | 2,53±0,001 | |||
96 | 1,59±0,007 | |||
90 | 1:50 | 30 | 2 | 2,02±0,008 |
45 | 2,31±0,001 | |||
60 | 2,86±0,012 | |||
120 | 2,32±0,010 | |||
90 | 1:30 | 60 | 2 | 2,18±0,009 |
1:50 | 3,48±0,015 | |||
1:100 | 3,21±0,014 | |||
90 | 1:50 | 60 | 1 | 3,10±0,013 |
2 | 3,41±0,015 | |||
3 | 2,26±0,011 |
Методика количественного определения суммы флавоноидов в водно-спиртовом извлечении травы солодки голой. Аналитическую пробу сырья измельчают до размера частиц, проходящих сквозь сито с отверстиями диаметром 2 мм. Около 1,0 г измельченного сырья (точная навеска) помещают в коническую термостойкую колбу (колба Эрленмейера) со шлифом вместимостью 100 мл, прибавляют 50 мл 90% этилового спирта. Колбу закрывают пробкой и взвешивают на лабораторных весах марки «Сарто ГОСМ» (ЛВ 210-А (RuLV-210-A) №23425181; 2008 г; Россия) с точностью до ±0,001. Колбу присоединяют к обратному холодильнику и нагревают на кипящей водяной бане (умеренное кипение) в течение 60 мин. Затем ее охлаждают в течение 30 мин, закрывают той же пробкой, снова взвешивают и восполняют недостающий экстрагент до первоначальной массы. Извлечение фильтруют через бумажный фильтр (красная полоса).
Испытуемый раствор готовят следующим способом: 1 мл полученного извлечения помещают в мерную колбу вместимостью 50 мл, прибавляют 2 мл 3% спиртового раствора алюминия хлорида и доводят объем раствора до метки спиртом этиловым 96% (испытуемый раствор А), перемешивают и оставляют на некоторое время (40 мин) для образования комплекса флавоноидов с алюминием. Затем измеряют оптическую плотность испытуемого раствора на спектрофотометре при длине волны 310 нм. В качестве раствора сравнения используют спирт этиловый 96%.
Приготовление стандартного раствора (СО) пиностробина для УФ-спектрофотомерии. Около 0,02 г (точная навеска) пиностробина помещают в мерную колбу вместимостью 100 мл, растворяют в 50 мл спирта этилового 96% при нагревании на водяной бане. Использование спирта этилового 96% позволяет обеспечить наилучшее растворение СО пиностробина. После охлаждения содержимого колбы до комнатной температуры, его объем доводят спиртом этиловым 96% до метки (раствор А СО пиностробина). Затем 1 мл раствора А СО пиностробина помещают в мерную колбу на 25 мл, прибавляют 2 мл 3% спиртового раствора алюминия хлорида и доводят объем раствора до метки спиртом этиловым 96% (испытуемый раствор Б СО пиностробина). Измеряют оптическую плотность раствора Б на спектрофотометре при длине волны 310 нм.
Содержание суммы флавоноидов в пересчете на пиноцембрин и абсолютно сухое сырье в процентах (X) вычисляют по формуле:
,
где D – оптическая плотность испытуемого раствора; Do – оптическая плотность раствора СО пиностробина; m – масса сырья, г; mо – масса СО пиноцембрина, г; W – потеря в массе при высушивании в процентах; 1,05 – коэффициент пересчета.
При отсутствии стандартного образца пиноцембрина целесообразно использовать рассчитанное значение удельного показателя поглощения при 310 нм – 738.
,
где D – оптическая плотность испытуемого раствора; m – масса сырья, г; 738 – удельный показатель поглощения (E) СО пиноцембрина при 310 нм; W – потеря в массе при высушивании в процентах.
Метрологические характеристики методики количественного определения содержания суммы флавоноидов в траве солодки голой представлены в таблице 2. Исходя из результатов статистической обработки проведенных опытов, можно сказать о том, что ошибка единичного определения суммы флавоноидов в траве солодки голой с доверительной вероятностью 95% составляет ±0,43%.
Таблица 2 / Table 2
Метрологические характеристики методики количественного определения суммы флавоноидов из водно-спиртового извлечения из травы солодки голой
Metrological characteristics of the method of quantitative determination of the total flavonoids in the Glycyrrhiza glabra L. herbs
n | f | Х− | S | SХ− | P(%) | T(P, t) | ∆Х− | E,% |
11 | 10 | 3,42 | 0,02203 | 0,006643 | 95 | 2,23 | ±0,015 | ±0,43 |
Валидационная оценка разработанной методики проводилась по показателям: специфичность, линейность, правильность и воспроизводимость. Специфичность методики определялась по соответствию максимумов поглощения комплекса флавоноидов травы солодки голой и пиностробина с алюминием хлоридом. Линейность методики определяли для серии растворов пиностробина (с концентрациями в диапазоне от 0,016 до 0,16 мг/мл). Коэффициент корреляции составил 0,9983.
С использованием разработанной методики нами проанализирован ряд образцов травы солодки голой (таблица 3).
Таблица 3 / Table 3
Содержание суммы флавоноидов в образцах травы солодки голой
The content of the total flavonoids in the samples of the Glycyrrhiza glabra L. herbs
Характеристика образца сырья | Содержание суммы флавоноидов в абсолютно сухом сырье (в %) в пересчете на пиноцембрин |
Самарская область (Кинельский район, пгт. Алексеевка), август 2021 г. | 3,38±0,015 |
г. Самара, Ботанический сад Самарского университета, август 2021 г. | 0,48±0,002 |
Оренбургская область (Сакмарский район, с. Татарская Каргала), июль 2017 г. | 0,39±0,002 |
Республика Казахстан, г. Державинск, июнь 2018 г. | 1,34±0,006 |
Самарская область (Большечерниговский район, с. Большая Черниговка), август 2019 г. | 1,19±0,005 |
Определено, что содержание суммы флавоноидов варьирует от 0,39±0,002% до 3,48±0,015% в пересчете на пиноцембрин в зависимости от места произрастания, культивирования и года сбора растительного сырья.
ВЫВОДЫ
- Нами научно обосновано использование СО пиностробина для подтверждения диагностически значимого флавоноида – пиноцембрина травы солодки голой для метода ТСХ.
- Разработана методика количественного определения суммы флавоноидов в солодке голой траве методом дифференциальной спектрофотометрии с использованием СО пиностробина при аналитической длине волны 310 нм. Содержание суммы флавоноидов для травы солодки голой варьирует от 0,39±0,002% до 3,48±0,015% в пересчете на пиноцембрин в зависимости от места произрастания, культивирования и года сбора растительного сырья. Ошибка единичного определения с доверительной вероятностью 95% составляет ±0,43%.
Конфликт интересов: авторы заявляют об отсутствии конфликта интересов, требующего раскрытия в данной статье.
About the authors
Olga A. Belova
Samara State Medical University
Email: belova_oa@pranapharm.ru
ORCID iD: 0000-0002-4767-0824
a postgraduate student of the Department of Pharmacognosy with botany and the basics of phytotherapy
Russian Federation, SamaraVladimir A. Kurkin
Samara State Medical University
Author for correspondence.
Email: v.a.kurkin@samsmu.ru
ORCID iD: 0000-0002-7513-9352
PhD, Professor, Head of the Department of Pharmacognosy with botany and the basics of phytotherapy
Russian Federation, SamaraElizaveta A. Smirnova
Samara State Medical University
Email: lisa215847@gmail.com
ORCID iD: 0000-0002-9162-0453
a 6th year student of the Institute of Pediatrics
Russian Federation, SamaraMaksim V. Egorov
Samara State Medical University
Email: m.v.egorov@samsmu.ru
ORCID iD: 0000-0001-9441-2628
PhD, Associate professor of the Department of Pharmacognosy with botany and the basics of phytotherapy
Russian Federation, SamaraReferences
- Aseeva TA, Blinova KF, Yakovlev GP. Medicinal developments of Tibetan medicine. Novosibirsk, 1985. (In Russ.). [Асеева Т.А., Блинова К.Ф., Яковлев Г.П. Лекарственные растения тибетской медицины. Новосибирск, 1985].
- Kruganova EA. A review of the species Glycyrrhiza L. and Meristotropis Fisch. et Mey. In: Proceedings of the Botanical Institute of the Academy of Sciences of the USSR. 1955;1(2):161-197. (In Russ.). [Круганова Е.А. Обзор видов Glycyrrhiza L. и Meristotropis Fisch. et Mey. В кн.: Труды Ботанического института АН СССР. 1955;1(2):161-197].
- Chikov PS. Atlas of Areals and Resources of Medicinal Plants of the USSR. M., 1980. (In Russ.). [Чиков П.С. Атлас ареалов и ресурсов лекарственных растений СССР. М., 1980].
- Grigor'ev YuS, Vasil'chenko IT. Flora of the USSR. Vol. 13, M., L., 1948:230-239. (In Russ.). [Григорьев Ю.С., Васильченко И.Т. Флора СССР. Т. 13, М., Л., 1948:230-239].
- The State Pharmacopoeia оf the Russian Federation, XIV ed. [Electronic resource]. (In Russ.). [Государственная фармакопея Российской Федерации XIV изд. (электронное издание)]. Available at: https://femb.ru/record/pharmacopea14
- Shreter GK. Medicinal plants and herbal raw materials included in the national pharmacopoeia M., 1972. (In Russ.). [Шретер Г.К. Лекарственные растения и растительное сырье, включенные в отечественные фармакопеи. М., 1972].
- The state register of medicines [Electronic resource]. (In Russ.). [Государственный реестр лекарственных средств (Электронный ресурс)]. Available at: http://grls.rosminzdrav.ru/grls.aspx
- Egorov MV, Kurkin VA, Zapesochnaya GG, Bykov VA. The qualitative and quantitative analysis of glycyrrhiza drugs and preparations. Proceedings of Voronezh State University. Series: Chemistry. Biology. Pharmacy. 2005;1:175-180. (In Russ.). [Егоров М.В., Куркин В.А., Запесочная Г.Г., Быков В.А. Качественный и количественный анализ сырья и препаратов солодки. Вестник ВГУ. Серия: Химия. Биология. Фармация. 2005;1:175-180].
- Egorov MV, Kurkin VA. Improvement of the methods of standardization of licorice roots. Izvestiya Samarskogo nauchnogo centra Rossijskoj akademii nauk. 2011;13(1):1992-1995. (In Russ.). [Егоров М.В., Куркин В.А. Совершенствование методов стандартизации корней солодки. Известия Самарского научного центра Российской академии наук. 2011;13(1):1992-1995].
- Ermakova VA, Samylina IA, Kovaleva TYu, et al. Licorice (glycyrrhiza) roots: analysis of the requirements of the pharmacopoeia. Pharmacy. 2019;68(6):16-19. (In Russ.). [Ермакова В.А., Самылина И.А., Ковалева Т.Ю., и др. Корни солодки: анализ фармакопейных требований. Фармация. 2019;68(6):16-19]. doi: 10.29296/25419218-2019-06-03
- Olennikov DN, Zilfikarov IN, Vennos C. Microcolumn HPLC-UV analysis of Glycyrrhiza uralensis plant material and preparations based on licorice. Pharmaceutical Chemistry Journal. 2018;52(12):24-29. (In Russ.). [Оленников Д.Н., Зилфикаров И.Н., Веннос С. Применение микроколоночной ВЭЖХ-УФ для анализа Glycyrrhiza uralensis и препаратов солодки. Химико-фармацевтический журнал. 2018;52(12):24-29]. doi: 10.30906/0023-1134-2018-52-12-24-29
- Kurkin VA. Pharmacognosy. Samara, 2020. (In Russ.). [Куркин В.А. Фармакогнозия. Самара, 2020].
- Lauren DR, Jensen DJ, Douglas JA, Follett JM. Efficient method for determining the glycyrrhizin content of fresh and dried roots, and root extracts, of Glycyrrhiza species. Phytochemical Analysis. 2001;12(5):332-335. doi: 10.1002/pca.597
- Botirov EH, Kiyamitdinova F, Malikov VM. Flavonoids of the aerial part of Glycyrrhiza glabra. Chemistry of natural compounds. 1986;1:111-112. (In Russ.). [Ботиров Э.Х., Киямитдинова Ф., Маликов В.М. Флавоноиды надземной части Glycyrrhiza glabra. Химия природных соединений. 1986;1:111-112].
- Yuldashev MP, Botirova EH, Vdovin AD, Abdullaev AD. Glabrizoflavone is a new izoflavone from Glycyrrhiza glabra L. Bioorganic chemistry. 2000;26(11):873-876. (In Russ.). [Юлдашев М.П., Ботиров Э.Х., Вдовин А.Д., Абдуллаев А.Д. Глабризофлавон – новый изофлавон из Glycyrrhiza glabra L. Биоорганическая химия. 2000;26(11):873-876].
- Aiello F, Armentano B, Polerà N, et al. From Vegetable Waste to New Agents for Potential Health Applications: Antioxidant Properties and Effects of Extracts, Fractions and Pinocembrin from Glycyrrhiza glabra L. Aerial Parts on Viability of Five Human Cancer Cell Lines. J Agric Food Chem. 2017;65(36):7944-7954. doi: 10.1021/acs.jafc.7b03045
- Dong Y, Zhao M, Sun-Waterhouse D, et al. Absorption and desorption behaviour of the flavonoids from Glycyrrhiza glabra L. leaf on macroporous adsorption resins. Food Chem. 2015;168:38-45. doi: 10.1016/j.foodchem.2014.07.109
- Chakotiya AS, Chawla R, Thakur P, et al. In vitro bactericidal activity of promising nutraceuticals for targeting multidrug resistant Pseudomonas aeruginosa. Nutrition. 2016;7-8(32):890-897. doi: 10.1016/j.nut.2016.01.024
- Wang KL, Yu YC, Chen HY, et al. Recent Advances in Glycyrrhiza glabra (Licorice)-Containing Herbs Alleviating Radiotherapy- and Chemotherapy-Induced Adverse Reactions in Cancer Treatment. Metabolites. 2022;12(6):535. doi: 10.3390/metabo12060535
- Frattaruolo L, Carullo G, Brindisi M, et al. Antioxidant and Anti-Inflammatory Activities of Flavanones from Glycyrrhiza glabra L. (licorice) Leaf Phytocomplexes: Identification of Licoflavanone as a Modulator of NF-kB/MAPK Pathway. Antioxidants (Basel, Switzerland). 2019;8(6):186. doi: 10.3390/antiox8060186
- Kurkina AV. Flavonoids of pharmacopoeial plants. Samara, 2012. (In Russ.). [Куркина А.В. Флавоноиды фармакопейных растений. Самара, 2012].
Supplementary files












