Comparative phytochemical study of white poplar (Populus alba L.) and black poplar (Populus nigra L.)
- Authors: Kosenko A.A.1, Kurkina A.V.1
-
Affiliations:
- Samara State Medical University
- Issue: Vol 23, No 4 (2023)
- Pages: 66-71
- Section: PHARMACEUTICAL CHEMISTRY, PHARMACOGNOSY
- Published: 09.12.2023
- URL: https://aspvestnik.ru/2410-3764/article/view/112274
- DOI: https://doi.org/10.55531/2072-2354.2023.23.4.66-71
- ID: 112274
Cite item
Full Text
Abstract
Aim – to conduct a comparative phytochemical study of leaves, wood buds, shoots, bark of two representatives of the genus poplar – white poplar and black poplar.
Material and methods. For the experiment, we have chosen leaves, wood shoots, buds, bark of black poplar (Populus nigra L.), white poplar (Populus alba L.) and also reference standards (RS). The thin-layer chromatography was carried out on the plates Sorbfil-PTSH-AF-A-UV in the systems n-butanol-acetic acid-water (4:1:2) and chloroform-ethyl alcohol-water (25:18:2). The spectrophotometry was carried out on a Specord 40 spectrophotometer (Analytik Jena) in cuvettes with a layer thickness of 10 mm in the wavelength range from 190 to 500 nm. The comparison solution was ethyl alcohol of 96% concentration.
Results. In the water-alcohol extracts of the leaves of poplar species the presence of rutin and other phenolic compounds was detected. Pinostrobin and pinocembrin were observed in wood shoots, buds and bark of the plants. The bathochromic shift of the long-wavelength line in the ultraviolet spectra of the studied extracts solutions indicated the presence of flavonoids.
Conclusion. In all cases, flavonoids made the greatest contribution to the absorption curves of the spectra, in particular: flavanones (pinocembrine, pinostrobin, and others), and phenylpropanoids (caffeic acid and other cinnamic acids). The leaves, wood shoots and buds of the plants contained substances of a phenolic nature, including flavonoids. The composition of the bark of the white poplar was mainly represented by phenolic compounds – phenylpropanoids and simple phenols.
Full Text
ВВЕДЕНИЕ
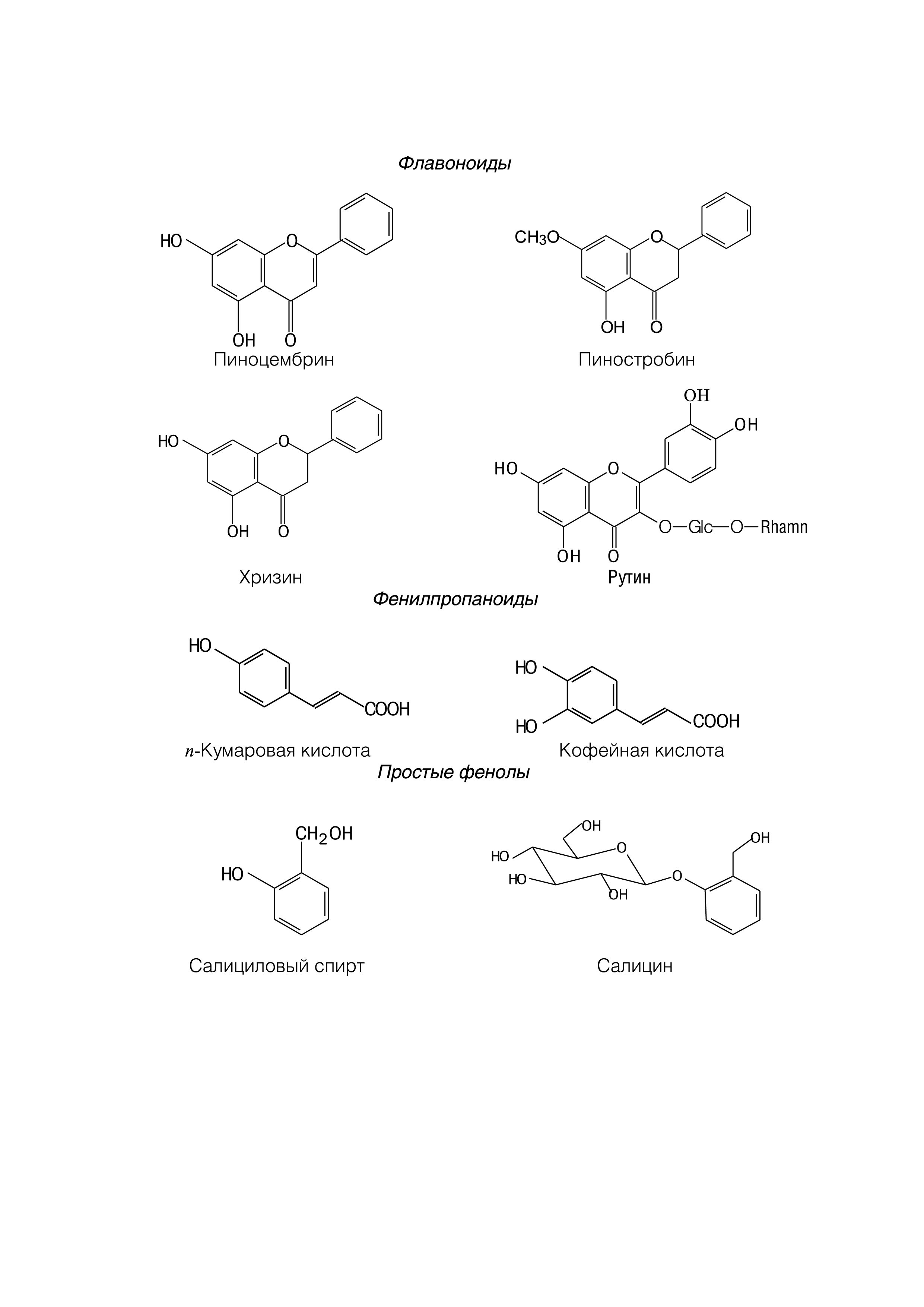
В Российской Федерации насчитывается около 20 видов тополя, но лишь некоторые виды являются фармакопейными: тополь черный (Populus nigra L.), тополь канадский (Populus deltoides Marsh.), тополь душистый (Populus suaveolens Fisch.), тополь лавролистный (Populus laurifolia Ledeb.) и тополь бальзамический (Populus balsamifera L.). Государственная фармакопея РФ XIV издания содержит фармакопейную статью на почки вышеперечисленных видов тополя (ФС.2.5.0042.15) [1–3]. Химический состав почек достаточно разнообразен: сырье содержит около 30% флавоноидов – пиностробин, пиноцембрин, пинобаксин, альпинон, хризин, тектохризин, апигенин, изальпинин, кемпферол, кверцетин – всего выделено из почек тополя свыше 20 флавоноидов, а также фенилпропаноиды, прежде всего коричные кислоты (п-кумаровая, кофейная, коричная, феруловая и др.) [4–10]. Ко второй группе биологически активных веществ относится эфирное масло около 0,5–2,0%, представленное терпеноидами [4, 5, 8, 11, 12]. К сопутствующим веществам относятся простые фенолы – производные салицилового спирта, а также фенолкарбоновые кислоты и смола [1, 3, 13, 14].
Наиболее характерными флавоноидами почек тополя, имеющими диагностическое значение для видов рода Тополь, являются флаваноны – пиностробин (5-гидрокси-7-метоксифлаванон) и пиноцембрин (5,7-диги-дрокси-флаванон) [1, 2, 4, 13, 15, 16] (рисунок 1). Именно данные вещества определяют характер кривой поглощения ультрафиолетовых (УФ) спектров экстрактов почек видов рода Populus [1, 3, 4, 5, 6, 8, 11, 17, 18].
Рисунок 1. Химические структуры важнейших фенольных биологически активных соединений
Figure 1. Chemical structures of the most important phenolic biologically active compounds
Препараты на основе почек тополя применяют как противогрибковые, противовоспалительные, антисептические, антиоксидантные и ранозаживляющие средства при инфекционных и гнойно-воспалительных поражениях кожи и мягких тканей как в нашей стране, так и за рубежом [1, 3, 8, 19, 20]. В настоящее время зарубежными учеными также изучается противораковая активность и использование экстрактов тополя в офтальмологической и стоматологической практике [16, 21–24].
Однако существуют современные литературные данные о том, что другие виды тополя обладают антимикробными свойствами, обусловленными фенольными соединениями, в частности, флавоноидами и фенилпропаноидами. Таким видом может выступать тополь белый, для которого имеются сведения о содержании действующих веществ, в частности, флавоноидов в коре, листьях и почках тополя белого [5, 8, 9, 13, 14, 17]. В этом отношении представляют фармакологический интерес и побеги видов рода Тополь.
Тополь серебристый (белый) (Populus alba L.) – древесное растение высотой 18–35 м с широкой кроной и очень светлой в молодости гладкой, у старых деревьев зеленовато-серой с неглубокими трещинами корой [5]. Почки, листья, побеги и кора тополя белого содержат флавоноиды (пиностробин, пиноцембрин, рутин) и другие фенольные соединения, в том числе салицин. На наш взгляд, для анализа флавоноидов и других фенольных соединений видов рода Тополь в сырье возможными методами являются тонкослойная хроматография, УФ-спектрофотометрия и высокоэффективная жидкостная хроматография.
ЦЕЛЬ
Сравнительное фитохимическое исследование листьев, почек, побегов, коры двух представителей рода Тополь – тополя белого и тополя черного.
МАТЕРИАЛ И МЕТОДЫ
Нами были собраны листья, побеги, почки, кора тополя белого и тополя черного вблизи поселка Алексеевка Самарской области в мае – октябре 2022 года. Собранный материал был высушен в помещении без прямых солнечных лучей.
Метод тонкослойной хроматографии осуществлялся на пластинках «Сорбфил-ПТСХ-АФ-А-УФ» в системах н-бутанол–уксусная кислота–вода (4:1:2) и хлороформ–этиловый спирт–вода (25:18:2). После хроматографирования пластинки высушивали на воздухе, просматривали в видимом свете, в УФ-свете при длине волны 254 и 366 нм. Далее хроматограммы проявляли спиртовым раствором алюминия хлорида и щелочным раствором диазобензолсульфокислоты, позволяющими обнаружить фенольные соединения, включая флавоноиды. В качестве растворов сравнения использовали стандартные образцы (СО) пиностробина, пиноцембрина, рутина, салицина.
Метод спектрофотометрии осуществлялся на спектрофотометре марки Specord 40 (Analytik Jena) в кюветах толщиной слоя 10 мм в диапазоне волн от 190 до 500 нм. Раствор сравнения – спирт этиловый 96% концентрации.
РЕЗУЛЬТАТЫ И ИХ ОБСУЖДЕНИЕ
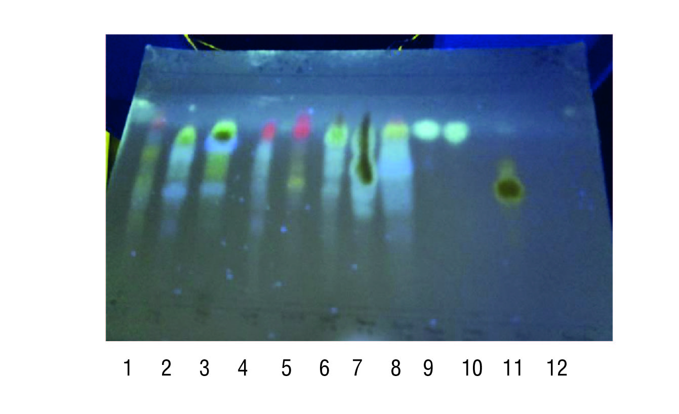
Результаты исследований показали, что компонентный состав варьирует в зависимости от видов сырья (листья, побеги, почки, кора), так и от вида тополя. Так, для побегов, листьев и побегов обоих видов характерным является наличие флавоноидов пиностробина, пиноцембрина и рутина, тогда как в коре исследуемых растений в основном преобладают фенилпропаноиды, в частности, гидроксикоричные кислоты (рисунки 2-3).
Рисунок 2. ТСХ-хроматограмма водно-спиртовых извлечений тополя белого и тополя черного. Хроматографическая система: хлороформ–этиловый спирт–вода (25:18:2), детекция при 254 нм
Figure 2. TLC-chromatogram of water-ethanol extracts of white poplar and black poplar. Chromatographic system: chloroform-ethanol-water (25:18:2), detection at 254 nm
Обозначения: 1 – листья тополя белого; 2 – побеги тополя белого; 3 – почки тополя белого; 4 – кора тополя белого; 5 – листья тополя черного; 6 – побеги тополя черного; 7 – почки тополя черного; 8 – кора тополя черного; 9 – СО пиностробин; 10 – СО пиноцембрин; 11 – СО рутин; 12 – СО салицин.
Designations: 1 – white poplar leaves; 2 – white poplar wood shoots; 3 – white poplar buds; 4 – white poplar bark; 5 – black poplar leaves; 6 – black poplar wood shoots; 7 – black poplar buds; 8 – black poplar bark; 9 – RS pinostrobin; 10 – RS pinocembrin; 11 – RS rutin; 12 – RS salicin.
Рисунок 3. ТСХ-хроматограмма водно-спиртовых извлечений тополя белого и тополя черного. Хроматографическая система: хлороформ–этиловый спирт–вода (25:18:2). Обработка спиртовым раствором алюминия хлорида, детекция при 366 нм
Figure 3. TLC-chromatogram of water-ethanol extracts of white poplar and black poplar. Chromatographic system: chloroform-ethanol-water (25:18:2). Treatment with an ethanolic solution of aluminum chloride, detection at 366 nm
Обозначения: см. рисунок 2.
Designations: see Figure 2.
Сравнительное исследование извлечений из побегов и почек, а также коры анализируемых растений методом ТСХ-анализа показало (рисунок 4) на наличие пятен желто-оранжевого цвета (пиностробин) на уровне СО пиностробина (Rf около 0,8) и оранжевых пятен (пиноцембрин) с величиной Rf около 0,7. В листьях обнаруживается пятно желто-зеленого цвета на уровне пятна СО рутина. Кроме того, на хроматограммах присутствуют и другие пятна, соответствующие веществам фенольной природы.
Рисунок 4. ТСХ-хроматограмма водно-спиртовых извлечений тополя белого и тополя черного. Хроматографическая система: хлороформ–этиловый спирт–вода (25:18:2), обработка раствором диазобензолсульфокислоты
Figure 4. TLC-chromatogram of water-ethanol extracts of white poplar and black poplar. Chromatographic system: chloroform- ethanol-water (25:18:2), detection after the processing with diazobenzenesulfonic acid
Обозначения: см. рисунок 2.
Designations: see Figure 2.
Сравнительное исследование электронных спектров водно-спиртовых извлечений из листьев, побегов, почек и коры тополя белого и тополя черного показывает (рисунки 5–8), что характер кривых поглощения соответствующих органов имеет общие признаки: максимум поглощения около 290 нм, характерный для флаванонов (пиноцембрин и пиностробин) и флаванонолов, и «плечо», или максимум поглощения, около 330 нм (в случае водно-спиртового извлечения из коры), обусловленные гидрокискоричными кислотами, в частности, кофейной кислотой (фенилпропаноиды).
Рисунок 5. Электронные спектры водно-спиртовых извлечений из листьев тополя белого (1) и тополя черного (2)
Figure 5. Electronic spectra of water-ethanol extracts from the leaves of white poplar (1) and black poplar (2).
Обозначения: 1 – извлечение из листьев тополя белого; 2 – извлечение из листьев тополя черного.
Designations: 1 – extraction from the leaves of white poplar; 2 – extraction from the leaves of black poplar.
Рисунок 6. Электронные спектры водно-спиртовых извлечений из побегов тополя белого (1) и тополя черного (2)
Figure 6. Electronic spectra of water-ethanol extracts from wood shoots of white poplar (1) and black poplar (2)
Обозначения: 1 – извлечение из побегов тополя белого; 2 – извлечение из побегов тополя черного.
Designations: 1 – extraction from white poplar shoots; 2 – extraction from black poplar shoots.
Рисунок 7. Электронные спектры водно-спиртовых извлечений из почек тополя белого (1) и тополя черного (2)
Figure 7. Electronic spectra of water-ethanol extracts from the buds of white poplar (1) and black poplar (2)
Обозначения: 1 – извлечение из почек тополя белого; 2 – извлечение из почек тополя черного.
Designations: 1 – extraction from the buds of white poplar; 2 – extraction from the buds of black poplar.
Рисунок 8. Электронные спектры водно-спиртовых извлечений из коры тополя белого (1) и тополя черного (2)
Figure 8. Electronic spectra of water-ethanol extracts from the bark of white poplar (1) and black poplar (2)
Обозначения: 1 – извлечение из коры тополя белого; 2 – извлечение из коры тополя черного.
Designations: 1 – extraction from the bark of white poplar; 2 – extraction from the bark of black poplar.
Сравнительное исследование электронных спектров водно-спиртовых извлечений из различных органов тополя белого в условиях реакции комплексообразования с раствором алюминия хлорида показывает (рисунки 9–12), что в УФ-спектрах водно-спиртовых извлечений из листьев, побегов, почек и коры данного растения наблюдается батохромный сдвиг длинноволновой полосы, что свидетельствует о наличии флавоноидов. При этом различия заключаются в том, что в электронном спектре водно-спиртового извлечения из листьев тополя белого наблюдается «плечо» в области 410 нм, что свидетельствует о преобладании гликозидов флавонолов, в частности, рутина, который обнаружен методом ТСХ. В случае электронных спектров водно-спиртовых извлечений из побегов и почек тополя белого наблюдается максимум поглощения в области 430 нм, характерный для флавоноловых агликонов, в частности, кемпферола и кверцетина (рисунки 10, 11). Что касается электронного спектра водно-спиртового извлечений из коры тополя белого (рисунок 12), то в присутствии раствора алюминия хлорида наблюдается лишь тенденция к комплексообразованию, что свидетельствует о низком содержании флавоноидов. При этом как исходный УФ-спектр, так и в присутствии раствора алюминия хлорида имеет спектральные характеристики, присущие гидроксикоричным кислотам, в частности, кофейной кислоте (λmax 290 и 328 нм).
Рисунок 9. Электронные спектры водно-спиртовых извлечений из листьев тополя белого
Figure 9. Electronic spectra of water-ethanol extracts from leaves of white poplar
Обозначения: 1 – исходное извлечение; 2 – извлечение в присутствии AlCl3.
Designations: 1 – initial extraction; 2 – extraction in the presence of AlCl3.
Рисунок 10. Электронные спектры водно-спиртовых извлечений из побегов тополя белого
Figure 10. Electronic spectra of water-ethanol extracts from wood shoots of white poplar
Обозначения: 1 – исходное извлечение; 2 – извлечение в присутствии AlCl3.
Designations: 1 – initial extraction; 2 – extraction in the presence of AlCl3.
Рисунок 11. Электронные спектры водно-спиртовых извлечений из почек тополя белого
Figure 11. Electronic spectra of water-ethanol extracts from buds of white poplar
Обозначения: 1 – исходное извлечение; 2 – извлечение в присутствии AlCl3.
Designations: 1 – initial extraction; 2 – extraction in the presence of AlCl3.
Рисунок 12. Электронные спектры водно-спиртовых извлечений из коры тополя белого
Figure 12. Electronic spectra of water-ethanol extracts from the bark of white poplar
Обозначения: 1 – исходное извлечение; 2 – извлечение в присутствии AlCl3.
Designations: 1 – initial extraction; 2 – extraction in the presence of AlCl3.
Сравнительная характеристика электронных спектров водно-спиртовых извлечений из листьев, побегов, почек и коры тополя белого показывает, что во всех случаях наибольший вклад в кривые поглощения спектров вносят флавоноиды, в частности, флаваноны (пиноцембрин, пиностробин и др.), а также фенилпропаноиды (кофейная кислота и другие коричные кислоты) (рисунок 13). Наибольшее сходство спектральных характеристик наблюдается для водно-спиртового извлечений почек тополя белого и пиностробина (рисунок 14) – характерного представителя флавоноидов видов род Тополь [8, 9, 11].
Рисунок 13. Электронные спектры водно-спиртовых извлечений из сырья тополя белого
Figure 13. Electronic spectra of water-ethanol extracts from the raw materials of white poplar
Обозначения: 1 – извлечение из листьев тополя белого; 2 – извлечение из побегов тополя белого; 3 – извлечение из почек тополя белого; 4 – извлечение из коры тополя белого.
Designations: 1 – extraction from leaves of white poplar; 2 – extraction from wood shoots of white poplar; 3 – extraction from buds of white poplar; 4 – extraction from bark of white poplar.
Рисунок 14. Электронные спектры водно-спиртовых извлечений почек тополя белого (1) и раствора СО пиностробина (2)
Figure 14. Electronic spectra of water-ethanol extracts of white poplar buds (1) and RS pinostrobin solution (2)
Обозначения: 1 – извлечение из почек тополя белого; 2 – раствор СО пиностробина.
Designations: 1 – extraction from buds of white poplar; 2 – RS pinostrobin solution.
ЗАКЛЮЧЕНИЕ
Исследование, проведенное методом ТСХ с последующей УФ-спектрофотометрией, позволило выявить, что обе хроматографические системы растворителей показали сопоставимые результаты, однако использование системы растворителей, состоящей из хлороформа, спирта и воды (25:18:2), позволяет более эффективно осуществлять разделение веществ по сравнению с системой, состоящей из н-бутанола, уксусной кислоты и воды (4:1:2). В листьях, побегах и почках содержатся вещества фенольной природы, в том числе флавоноиды. Что касается коры тополя белого, то фенольные соединения представлены в основном фенилпропаноидами и простыми фенолами.
Cравнительная характеристика электронных спектров водно-спиртовых извлечений из листьев, побегов, почек и коры тополя белого и тополя черного показывает, что характер кривых поглощения соответствующих органов исследуемых видов имеет общие признаки: максимум поглощения около 290 нм и 330 нм. Электронные спектры водно-спиртовых извлечений из листьев, побегов и почек тополя белого обусловлены в основном флавоноидами, а УФ-спектры водно-спиртового извлечения из коры данного растения – фенилпропаноидами.
Конфликт интересов: авторы заявляют об отсутствии конфликта интересов, требующего раскрытия в данной статье.
About the authors
A. A. Kosenko
Samara State Medical University
Email: a.a.kosenko@samsmu.ru
ORCID iD: 0000-0003-3402-4302
a postgraduate student of the Department of Pharmaceutical Technology with a Course of Biotechnologies
Russian Federation, SamaraA. V. Kurkina
Samara State Medical University
Author for correspondence.
Email: a.v.kurkina@samsmu.ru
ORCID iD: 0000-0002-5028-9186
PhD, Associate Professor, Head of the Department of Pharmaceutical Technology with a Course of Biotechnologies
Russian Federation, SamaraReferences
- Braslavsky VB. Willow, poplar and propolis in medicine and pharmacy. Samara, 2012. (In Russ.). [Браславский В.Б. Ива, тополь и прополис в медицине и фармации. Самара, 2012].
- State Pharmacopoeia of the Russian Federation. XIV ed. Vol. 4. M., 2018. (In Russ.). [Государственная фармакопея Российской Федерации. XIV издание. Т. 4. М., 2018]. Available at: https://femb.ru/record/pharmacopea14
- Kurkin VA. Pharmacognosy. Samara, 2020:372-377. (In Russ.). [Куркин В.А. Фармакогнозия. Самара, 2020:372-377].
- Kurkin VA, Kupriyanova EA, Daeva ED, Kadencev VI. Components of Populus nigra leaves. Chemistry of natural compounds. 2020;56:137-138. (In Russ.). [Куркин В.А., Куприянова Е.А., Даева Е.Д., Каденцев В.И. Компоненты листьев Populus nigra. Химия природных соединений. 2020;56:137-138]. doi: 10.1007/s10600-020-02964-w
- Kurkin VA, Kupriyanova EA. Comparative study of flavonoid composition of leaves of pharmacopeial species of the genus Populus. Chemistry of plant raw materials. 2020;1:117-124. (In Russ.). [Куркин В.А., Куприянова Е.А. Сравнительное исследование флавоноидного состава листьев фармакопейных видов рода Populus. Химия растительного сырья. 2020;1:117-124]. doi: 10.14258/jcprm.2020015818
- Kurkin VA, Zapesochnaya GG, Braslavskij VB. Flavonoids in buds of Populus balsamifera. Chemistry of natural compounds.1990;(2):272-273. (In Russ.). [Куркин В.А., Запесочная Г.Г., Браславский В.Б. Флавоноиды почек Populus balsamifera. Химия природых соединений. 1990;2:272-273]. Available at: https://doi.org/10.1007/BF00607554
- Kurkin VA, Braslavskij VB, Zapesochnaya GG, Tolkachev VO. Flavonoids in buds Populus deltoides. Chemistry of natural compounds.1990;4:548-550. (In Russ.). [Куркин В.А., Браславский В.Б., Запесочная Г.Г., Толкачев В.О. Флавоноиды почек Populus deltoides. Химия природных соединений. 1990;4:548-550]. doi: 10.1007/BF00599013
- Kurkin VA, Zapesochnaya GG, Braslavskij VB. Standardization of raw materials and preparations of poplar and propolis. Pharmacy. 2009;57(4):53-56. (In Russ.). [Куркин В.А., Запесочная Г.Г., Браславский В.Б. Стандартизация сырья и препаратов тополя и прополиса. Фармация. 2009;57(4):53-56].
- Kupriyanova EA. Comparative pharmacognostic study of representatives of the genus Poplar (Populus L.) [dissertation]. Samara, 2020. (In Russ.). [Куприянова Е.А. Сравнительное фармакогностическое исследование представителей рода Тополь (Populus L.). Дис. …канд. фарм. наук. Самара, 2020]. Available at: https://samsmu.ru/files/referats/2020/kupriyanova/dissertation.pdf
- Kurkin VA, Kupriyanova EA. The Phytochemical Study of the Populus nigra L. Leaves. Res J Pharm Technol. 2021;14(8):4192-4196. doi: 10.52711/0974-360X.2021.00726
- Kupriyanova EA, Kurkin VA. The development of approaches to standardization of the Populus nigra leaves. Aspirantskij vestnik Povolzh'ya. 2018;5-6:17-22. (In Russ.). [Куприянова Е.А., Куркин В.А. Разработка подходов к стандартизации листьев тополя черного. Аспирантский вестник Поволжья. 2018;5-6:17-22]. doi: 10.17816/2072-2354.2018.18.3.17-21
- Kupriyanova EA, Kurkin VA. The study of the composition of phenolic compounds of the Populus nigra leaves. Aspirantskij vestnik Povolzh'ya. 2019;5-6:128-131. (In Russ.). [Куприянова Е.А., Куркин В.А. Изучение состава фенольных соединений листьев тополя черного. Аспирантский вестник Поволжья. 2019;5-6:128-134]. doi: 10.17816/2072-2354.2019.19.3.128-134
- Plant resources of the USSR: Flowering plants, their chemical composition, use; Paeoniaceae family. L.,1986:105-114. (In Russ.). [Растительные ресурсы СССР: Цветковые растения, их химический состав, использование; Семейства Paeoniaceae – Thymelaeaceae. Л.,1986:105-114].
- Nassima B, Nassima B, Riadh K. Antimicrobial and antibiofilm activities of phenolic compounds extracted from Populus nigra and Populus alba buds (Algeria). Brazilian Journal of Pharmaceutical Sciences.2019;55,e18114. doi: 10.1590/s2175-97902019000218114
- Kurkina AV. Flavonoids of pharmacopoeia plants. Samara, 2012. (In Russ.). [Куркина А.В. Флавоноиды фармакопейных растений. Самара, 2012].
- Vardar-Ünlü G. Composition and in vitro antimicrobial activity of Populus buds and poplar-type propolis. World Journal of Microbiology and Biotechnology. 2008;24(7):1011-1017. doi: 10.1007/s11274-007-9566-5
- Pobłocka-Olech L, Migas P, Krauze-Baranowska M. TLC determination of some flavanones in the buds of different genus Populus species and hybrids. Acta Pharm. 2018;68(2):199-210. doi: 10.2478/acph-2018-0018
- Singh S, Meena A, Luqman S, Meena A. Acacetin and pinostrobin as a promising inhibitor of cancer-associated protein kinases. Food Chem Toxicol. 2021;151:112091. doi: 10.1016/j.fct.2021.112091
- Kupriyanova EA, Kurkin VA, Ryzhov VM, et al. Antimicrobial activity of infusions of buds and shoots of black poplar. Pharmacy. 2019;68(3):44-48. (In Russ.). [Куприянова Е.А., Куркин В.А., Рыжов В.М., и др. Антимикробная активность настоек почек и побегов тополя черного. Фармация. 2019;68(3):44-48]. doi: 10.29296/25419218-2019-03-08
- Kupriyanova EA, Kurkin VA, Ryzhov VM, et al. Comparative study of the antibacterial activity of extracts from the leaves of black poplar in relation to strains isolated from patients with cystic fibrosis. Bulletin of the VSU. Series: Chemistry. Biology. Pharmacy. 2019;4:88-93. (In Russ.). [Куприянова Е.А., Куркин В.А., Рыжов В.М., и др. Сравнительное изучение антибактериальной активности извлечений из листьев тополя черного в отношении штаммов, выделенных от пациентов с муковисцидозом. Вестник ВГУ. Серия: Химия. Биология. Фармация. 2019;4:88-93]. doi: 10/29296/25419218-2019-03-08
- Adekenov SM, Zhabayeva AN, Itzhanova KI, et al. Development of the composition and technology of a new dental gel with anti-inflammatory and antimicrobial action. Eurasian Chemico-Technological Journal. 2020;22(2):117-122. doi: 10.18321/ectj958
- Kis B, Avram S, Pavel IZ, et al. Recent advances regarding the phytochemical and therapeutic uses of Populus nigra L. buds. Plants (Basel). 2020;9(11):1464. doi: 10.3390/plants9111464
- Pobłocka-Olech L, Inkielewicz-Stepniak I, Krauze-Baranowska M. Anti-inflammatory and antioxidative effects of the buds from different species of Populus in human gingival fibroblast cells: Role of bioflavanones. Phytomedicine. 2019;56:1-9. doi: 10.1016/j.phymed.2018.08.015
- Stanciauskaite M, Marksa M, Ivanauskas L, et al. Ophthalmic in situ gels with balsam poplar buds extract: Formulation, rheological characterization, and quality evaluation. Pharmaceutics. 2021;13(7):953. doi: 10.3390/pharmaceutics13070953
Supplementary files

















