Tincture of Juglans nigra L. bark: peculiarities of standardization
- Authors: Zimenkina N.I.1, Kurkin V.A.1
-
Affiliations:
- Samara State Medical University
- Issue: Vol 21, No 5-6 (2021)
- Pages: 36-47
- Section: Pharmacy
- Published: 15.05.2021
- URL: https://aspvestnik.ru/2410-3764/article/view/105763
- DOI: https://doi.org/10.55531/2072-2354.2021.21.3.36-47
- ID: 105763
Cite item
Full Text
Abstract
BACKGROUND: Juglans nigra L. is a species of trees in the Juglandaceae family. This plant of the genus Juglans L. has not been sufficiently studied in comparison with other species, including Juglans regia L. It is a perspective medicinal plant raw material, its derivatives have an antimicrobial, general tonic effect. The known antimicrobial and general tonic activity of Juglans L preparations presented on the pharmaceutical market is probably due to substances of a flavonoid nature. These data indicate the relevance of studying the flavonoids of the Juglans nigra L. bark.
AIM: The aim of this study is to develop methods for qualitative analysis and quantitative determination of biologically active compounds for tincture of Juglans nigra L. bark with the using of spectrophotometry, thin layer chromatography, microcolumn high performance liquid chromatography.
MATERIALS AND METHODS: The object of the study was the tincture of Juglans nigra L. bark, samples of which were prepared in March-April 2020 on the territory of the Botanical Garden of Samara University, standard samples of myricitrin, myricetin. UV spectra were recorded with the use of Specord 40 spectrophotometer (Analytik Jena). Chromatographic analysis was carried out by thin-layer chromatography (qualitative analysis), reversed-phase high performance liquid chromatography on a Milikhrom-6 microcolumn liquid chromatograph (quantitative analysis).
RESULTS: As a result of the chromatographic study, myricitrin were revealed, it appeared to be the dominant flavonoid substance. This compound has Rf value of about 0.4 in the solvent system of chloroform-ethanol-water (25:18:2). A method for the quantitative determination of the total flavonoids calculated on myricitrin in tincture of Juglans nigra L. bark was developed by means of differential spectrophotometry. It was determined that the content of the total flavonoids calculated on myricitrin in the tincture of Juglans nigra L. bark was 0.84 ± 0.07%. A method for the quantitative determination of myricitrin in tincture of Juglans nigra L. bark by high performance liquid chromatography was developed. The content of the dominant flavonoid as myricitrin (myricetin-3-O-α-L-rhamnopyranoside) in the tincture of Juglans nigra L. bark was 0.42 ± 0.06%.
CONCLUSIONS: The methods of qualitative analysis and quantitative determination of flavonoids for tincture of Juglans nigra L. bark with the use of modern instrumental methods of analysis (spectrophotometry, thin layer chromatography, high performance liquid chromatography) has been developed. These results can be used to standardize the tincture of Juglans nigra L. bark.
Full Text
Обоснование
Орех черный (Juglans nigra L., сем. Ореховые — Juglandaceae) — листопадное дерево, произрастающее на территории Российской Федерации, перспективный вид официального лекарственного растительного сырья (ЛРС). Как представитель рода Орех данный вид ЛРС служит потенциальным источником важного класса биологически активных соединений — нафтохинонов [1–3]. Орех черный содержит также азотистые вещества, тритерпены и фенольные соединения, в том числе флавоноиды, которые могут вносить существенный вклад в основное антимикробное и общеукрепляющее действие ЛРС [6, 7, 11].
Проведенные ранее исследования показали перспективность получения новых лекарственных препаратов на основе коры ореха черного (Juglans nigra L.) [6]. Это связано с тем обстоятельством, что для препаратов коры ореха черного характерна не только антимикробная и общеукрепляющая активность, но и противовоспалительное, антиноцицептивное и нейротропное действие [8–10]. Указанные эффекты установлены для флавоноида мирицитрина (мирицетин-3-O-α-L-рамнопиранозид), который является доминирующим и диагностически значимым соединением коры ореха черного. Из этого следует, что препараты коры ореха черного можно считать перспективными для дальнейшего изучения не только в области фармакологии, но и в плане контроля их качества [4, 5].
В данной работе нами рассматриваются оптимальные подходы к стандартизации настойки коры ореха черного с применением методов тонкослойной хроматографии (ТСХ) для идентификации основных групп биологически активных соединений, ультрафиолетовой (УФ) спектрофотометрии и высокоэффективной жидкостной хроматографии (ВЭЖХ) для контроля содержания флавоноидов; установлено содержание суммы флавоноидов (УФ-спектрофотометрия) и мирицитрина (ВЭЖХ).
Материалы и методы
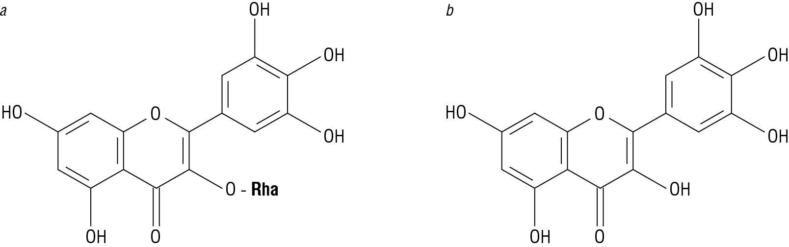
В качестве объекта исследования использовали настойку коры ореха черного, образцы которой были заготовлены в марте-апреле 2020 г. на территории Ботанического сада Самарского университета. Указанный лекарственный растительный препарат был использован для качественного (ТСХ) и количественного анализа (УФ-спектрофотометрия и ВЭЖХ). Анализировали настойку коры ореха черного с использованием стандартных образцов (СО) мирицитрина и мирицетина (рис. 1) методами ТСХ, УФ-спектрофотометрии и ВЭЖХ.
Рис. 1. Структурные формулы мирицитрина (a) и мирицетина (b) / Fig. 1. Structural formulas of myricitrin (a) and myricetin (b)
В работе использовали ацетонитрил (ООО «Компонент-реактив») и воду, полученную с использованием системы для получения воды очищенной с многоступенчатой системой очистки (адсорбция, обратный осмос, мембранное фильтрование) и проверенную на чистоту в условиях хроматографического анализа. Остальные реактивы имели степень чистоты «ч. д. а.» (чистый для анализа) или «х. ч.» (химически чистый).
Тонкослойную хроматографию осуществляли с использованием хроматографических пластинок Sorbfil ПТСХ-АФ-А-УФ, капиллярами LactatProfi 3000 наносили 0,02 мл водно-спиртовых извлечений, а также их настойки. Рядом наносили 0,01 мл растворы стандартных образцов мирицитрина (мирицетин-3-O-α-L-рамнопиранозид), мирицетина (3,5,7,3ʹ,4ʹ,5ʹ-гексагидроксифлавон). Определение проводили в системе хлороформ – этанол – вода (25 : 18 : 2). Хроматографическую пластинку помещали в камеру, которую предварительно насыщали в течение 60 мин смесью растворителей, и хроматографировали восходящим способом.
Полученную хроматограмму просматривали при дневном свете, в УФ-свете при длине волны 365 нм с помощью ультрафиолетового облучателя УФО-254/365 (ООО «Петролазер», Россия), а также обрабатывали щелочным раствором диазобензолсульфокислоты и 3 % спиртовым раствором алюминия хлорида (AlCl3).
Для СО мирицитрина спектры ЯМР 1Н получали на приборе Bruker AM 300 (300 МГц), спектры ЯМР 13С — на приборе Bruker DRX 500 (126,76 МГц), масс-спектры снимали на масс-спектрометре Kratos MS-30. Для СО мирицетина спектры ЯМР 1Н получали на приборе JNM-ECX 400 (399,78 МГц), спектры ЯМР 13С — на приборе JNM-ECX 400 (100,52 МГц). Регистрацию УФ-спектров проводили с помощью спектрофотометра Specord 40 (Analytik Jena). Спектральные характеристики указанных стандартных образцов представлены ниже.
Мирицитрин (мирицетин-3-O-α-L-рамнопиранозид). Желтое с кремовым оттенком кристаллическое вещество с т. пл. 203–205 °С (водный спирт). УФ-спектр (EtOH, λmax, нм): 212, 260, 358; +NaOAc 268, 366; +NaOAc + + H3BO3 260, 382; +АlСl3 278, 416; +АlСl3 + HCl 270, 406.
Спектр ЯМР 1Н (300 МГц, ДМСО-d6, δ, м. д.): 12,68 (1H, с, 5-ОН-группа), 9,23 (2Н, уш. с, 7-ОН- и 4ʹ-ОН-группы), 6,88 (2Н, с, Н-2ʹ и Н-6ʹ), 6,36 (1Н, д, J = 2,5 Гц, Н-8), 6,19 (1Н, д, J = 2,5 Гц, Н-6), 5,20 (1Н, д, J = 1,5 Гц, Н-1ʹʹ рамнозы), 3,1–5,0 (м, 4Н рамнозы), 0,84 (3Н, д, J = 6 Гц, СН3 рамнозы).
Спектр ЯМР 13С (126,76 МГц, ДМСО-d6, δ, м. д.): 177,85 (С-4), 164,24 (С-7), 161,37 (С-5), 157,57 (С-4ʹ), 156,49 (С-9), 145,83 (С-2 и C-3), 145,83 (С-3ʹ и С-5ʹ), 119,70 (С-1ʹ), 108,00 (С-2ʹ и C-6ʹ), 104,12 (С-10), 102,00 (С-1ʹʹ рамнозы), 98,41 (С-6), 94,30 (С-8), 116,21 (С-2ʹ), 71,03 (С-3ʹʹ), 70,62 (С-5ʹʹ), 70,47 (С-4ʹʹ), 70,08 (С-2ʹʹ), 17,57 (С-6ʹʹ, СН3).
Масс-спектр (HR-ESI-MS, 180 °C, m/z): 465,1016 [M + H]+, 487,0830 [M + Na]+, 503,0560 [M + K]+.
Мирицетин (3,5,7,3ʹ,4ʹ,5ʹ-гексагидроксифлавон). Желтовато-зеленое кристаллическое вещество с т. пл. 357 °C (водный спирт). УФ-спектр (EtOH, λmax, нм): 254, 377; +NaOAc 275, 382; +NaOAc + H3BO3 258, 392; +АlСl3 266, 440; +АlСl3 + HCl 266, 440.
Спектр ЯМР 1Н (399,78 МГц, ДМСО-d6, δ, м. д.): 12,45 (1H, с, 5-ОН-группа), 10,73 (1Н, с, 7-ОН-группа), 9,28 (1Н, с, 4ʹ-ОН-группа), 9,17 (2Н, с, 3ʹ-ОН- и 5ʹ-ОН-группы), 8,75 (1Н, с, 3-ОН-группа), 7,20 (2Н, с, Н-2ʹ и Н-6ʹ), 6,32 (1Н, д, J = 2,2 Гц, Н-8), 6,14 (1Н, д, J = 2,2 Гц, Н-6).
Спектр ЯМР 13С (100,52 МГц, ДМСО-d6, δ, м. д.): 176,29 (С-4), 164,39 (С-7), 161,25 (С-5), 156,59 (С-9), 147,36 (С-4ʹ), 146,23 (С-3ʹ и С-5ʹ), 136,38 (С-2 и C-3), 121,30 (С-1ʹ), 107,68 (С-2ʹ и C-6ʹ), 103,49 (С-10), 93,71 (С-8), 98,67 (С-6).
Исходя из спектральных данных, поскольку доминирующий флавоноид мирицитрин имеет в длинноволновой области электронного спектра максимум поглощения при 360 ± 2 нм, нами была выбрана длина волны 360 нм для детекции анализируемых веществ при проведении ВЭЖХ-анализа.
Приготовление рабочих растворов для анализа методом УФ-спектрофотометрии.
Настойку коры ореха черного получали с помощью 70 % этилового спирта в соотношении сырье/экстрагент 1 : 5 с применением метода дробной мацерации.
Пробоподготовка для настойки коры ореха черного. Около 1 мл настойки коры ореха черного (точная навеска) помещают в мерную колбу вместимостью 25 мл, доводят объем раствора до метки 70 % этиловым спиртом (испытуемый раствор А). 1 мл испытуемого раствора А помещают в мерную колбу вместимостью 50 мл, добавляют 2 мл 3 % спиртового раствора алюминия хлорида и доводят объем раствора до метки 96 % этиловым спиртом (испытуемый раствор Б). В качестве раствора сравнения использовали раствор, полученный следующим образом: 1 мл испытуемого раствора А помещают в мерную колбу вместимостью 50 мл и доводят объем раствора 96 % этиловым спиртом до метки.
Приготовление стандартного раствора мирицитрина для УФ-спектрофотометрии. Около 0,0025 г (точная навеска) предварительно высушенного мирицитрина (содержание основного вещества ≥98 %) помещают в мерную колбу вместимостью 25 мл, растворяют в 15 мл 80 % этилового спирта при нагревании на водяной бане. После охлаждения содержимого колбы до комнатной температуры доводят объем раствора 80 % этиловым спиртом до метки (раствор А мирицитрина). 5 мл раствора А мирицитрина помещают в мерную колбу вместимостью 25 мл, прибавляют 2 мл 3 % спиртового раствора алюминия хлорида и доводят объем раствора до метки 96 % этиловым спиртом (испытуемый раствор Б мирицитрина).
Приготовление рабочих растворов для анализа методом ВЭЖХ.
Пробоподготовка для настойки коры ореха черного. Около 5,00 мл настойки коры ореха черного помещают в мерную колбу вместимостью 25 мл, доводят объем раствора до метки 96 % этиловым спиртом (испытуемый раствор А). Испытуемый раствор А предварительно фильтруют через мембранный фильтр Milipore (0,45 мкм).
Приготовление стандартного раствора мирицитрина для ВЭЖХ. Около 0,02 г (точная навеска) предварительно высушенного мирицитрина (содержание основного вещества ≥98 %) переносили в мерную колбу вместимостью 50 мл, растворяли в 70 % этаноле и доводили объем раствора до метки тем же растворителем.
Приготовление стандартного раствора мирицетина для ВЭЖХ. Около 0,02 г (точная навеска) предварительно высушенного мирицетина (содержание основного вещества ≥98 %) переносили в мерную колбу вместимостью 50 мл, растворяли в 70 % этаноле и доводили объем раствора до метки тем же растворителем.
Условия хроматографического разделения. Хроматографический анализ осуществляли методом обращенно-фазовой ВЭЖХ на микроколоночном жидкостном хроматографе «Милихром-6» (НПАО «Научприбор») в следующих условиях: изократический режим, стальная колонка КАХ-6-80-4 (№ 2; 2 × 80 мм; Сепарон-C18 7 мкм), подвижная фаза ацетонитрил: 1 % раствор уксусной кислоты в воде в соотношении 2 : 8, скорость элюирования — 100 мкл/мин, объем элюента — 2500 мкл. Детекцию веществ осуществляли при длине волны 360 нм. Объемы инжектируемых проб: 4 мкл (настойка, мирицитрин, мирицетин).
Оценка пригодности хроматографической системы. С целью проверки пригодности хроматографической системы проводили 5-кратное хроматографирование 4 мкл испытуемого раствора настойки коры ореха черного. В дальнейшем рассчитывали следующие показатели: эффективность колонки, разрешение между пиками, фактор асимметрии (табл. 1).
Таблица 1. Определение пригодности хроматографической колонки / Table 1. Determination of the suitability of a chromatographic column
Параметр хроматографической колонки | Значение | Нормативный показатель |
Эффективность колонки | 5115 | Не менее 2000 теоретических тарелок |
Разрешение между пиками | 1,65 | Не менее 1,5 |
Фактор асимметрии | 1,35 | Не более 1,5 |
Валидационный анализ. Для построения градуировочного графика серию разведения мирицитрина (250–1500 мкг/мл) хроматографировали в описанных условиях. На основании полученных данных строили график в координатах «концентрация, мг/мл — площадь пика» и рассчитывали уравнение линейной регрессии (Y = aX + b), значение коэффициента детерминации (r2), стандартное отклонение с использованием Microsoft Excel 2013. Статистическую обработку экспериментальных данных промежуточной прецизионности разработанной методики при анализе 11 проб образцов испытуемых растворов настойки (P = 95 %) проводили с использованием критерия Стьюдента с помощью программ Microsoft Excel с вычислением граничных значений доверительного интервала среднего результата и определением ошибки единичного определения (ГФ XIV, ОФС 1.1.0013.15). Стабильность методики определяли на образце настойки коры ореха черного, анализируя его через 2, 4, 8, 12, 24, 48 и 72 ч после первого анализа. Правильность методики выявляли на образце настойки коры ореха черного с введением в аликвоту образца раствора стандартного образца мирицитрина в количестве от 80 до 120 % исходного содержания.
Результаты исследования и обсуждение. В результате ТСХ-анализа в системе растворителей хлороформ – этанол – вода (25 : 18 : 2) отмечено, что наиболее информативными являются хроматограммы, просматриваемые при длине волны 365 нм до и после обработки спиртовым раствором алюминия хлорида с дальнейшей обработкой щелочным раствором диазобензолсульфокислоты.
По результатам проводимых хроматографических исследований выявлен ряд особенностей хроматографических профилей изучаемых объектов. При детектировании хроматографических пластинок с 70 % спирто-водными извлечениями коры ореха черного, а также настойкой соответствующего ЛРС в видимом и УФ-свете при 365 нм наблюдается наличие широкого спектра фенольных соединений различного состава. Заметно преобладание веществ флавоноидной структуры, выявленных в результате усиления окраски после нанесения спиртового раствора AlCl3. Во всех извлечениях и образцах настоек обнаружены зоны адсорбции одного доминирующего соединения флавоноидной природы ярко-желтого цвета в видимом, темно-коричневого цвета в УФ-свете с Rf ≈ 0,4. Выявленные зоны адсорбции совпадают с зонами адсорбции используемого в качестве стандарта мирицитрина (3-О-α-L-рамнопиранозид мирицетина). По хроматограммам видно, что мирицитрин во всех указанных видах ЛРС является доминирующим компонентом. Кроме того, в извлечениях и настойках соответствующего ЛРС обнаруживается продукт гидролиза мирицитрина — агликон мирицетин. Также в извлечениях обнаружены другие флавоноидные соединения, предположительно, негликозидной структуры (рис. 2).
Рис. 2. Тонкослойная хроматограмма анализа водно-спиртовых извлечений коры и листьев ореха черного (Juglans nigra L.) в системе растворителей хлороформ – этанол – вода (25 : 18 : 2): a — детекция в видимом свете; b — детекция в УФ-свете при длине волны 365 нм; c — детекция в УФ-свете при длине волны 365 нм после обработки спиртовым раствором хлорида алюминия (AlCl3); d — детекция после обработки диазобензолсульфокислотой. 1 — 70 % водно-спиртовое извлечение коры ореха черного; 2 — настойка коры ореха черного; 3 — 70 % водно-спиртовое извлечение листьев ореха черного; 4 — настойка листьев ореха черного; 5 — стандартные образцы мирицитрина; 6 — стандартные образцы мирицетина / Fig. 2. TLC-chromatogram of water-ethanolic extraction from Juglans nigra barks and leaves in a solvent system of chloroform-ethanol-water (25:18:2): a — detection in visible light; b — detection in UV light at the wavelength of 365 nm; c — detection in UV light at the wavelength of 365 nm after the processing with an ethanolic solution of aluminum chloride (AlCl3); d — detection after the processing with diazobenzenesulfonic acid. 1 — 70% solutions of water- ethanolic extraction of Juglans nigra bark; 2 — tincture of Juglans nigra bark; 3 — 70% solutions of water-ethanolic extraction of Juglans nigra leaves; 4 — tincture of Juglans nigra leaves; 5 — myricitrin; 6 — myricetin
При сравнительном изучении электронных спектров испытуемых растворов настойки коры ореха черного обнаруживаются характерные для флавоноидов, в частности — флавонолов, 2 максимума поглощения около 260 и 360 нм, что подтверждается батохромным сдвигом длинноволновой полосы в присутствии AlCl3, а также данными дифференциальных спектров с максимумом поглощения 414–416 нм (рис. 3, 4).
Рис. 3. Электронные спектры испытуемого раствора настойки коры ореха черного: 1 — исходный раствор; 2 — раствор с добавлением алюминия хлорида / Fig. 3. Electronic spectra of the studied solution of the tincture with Juglans nigra bark: 1 — initial solution; 2 — solution with the addition of aluminum chloride
Рис. 4. Электронные спектры испытуемого раствора настойки коры ореха черного (дифференциальный вариант) / Fig. 4. Electronic spectra of the studied solution of the tincture with Juglans nigra bark (differential option)
Нами было выявлено, что содержащийся в коре ореха черного мирицитрин во многом определяет характер кривой поглощения водно-спиртового извлечения из коры ореха черного, а значит, является диагностически значимым веществом для данного вида сырья. Принимая во внимание тот факт, что максимумы поглощения раствора флавоноида и водно-спиртового извлечения коры ореха черного находятся в области 416 нм (дифференциальный вариант), целесообразно определение содержания суммы флавоноидов в пересчете на мирицитрин при длине волны 416 нм (рис. 5, 6).
Рис. 5. Электронные спектры спиртовых растворов мирицитрина: 1 — исходный раствор; 2 — раствор с добавлением алюминия хлорида / Fig. 5. Electronic spectra of ethanolic solutions of myricitrin: 1 — initial solution; 2 — solution with the addition of aluminum chloride
Рис. 6. Электронный спектр раствора мирицитрина (дифференциальный вариант) / Fig. 6. Electronic spectra of ethanolic solution of myricitrin (differential option)
В ходе разработки методик количественного определения для настойки коры ореха черного нами определены оптимальные параметры пробоподготовки, а также аналитическая длина волны для количественного анализа (416 нм).
Методика количественного определения суммы флавоноидов в настойке коры ореха черного. 1,00 мл настойки коры ореха черного помещают в мерную колбу вместимостью 25 мл, доводят объем раствора до метки 70 % этиловым спиртом (испытуемый раствор А). 1 мл испытуемого раствора А помещают в мерную колбу вместимостью 50 мл, прибавляют 2 мл 3 % спиртового раствора алюминия хлорида и доводят объем раствора до метки 96 % этиловым спиртом (испытуемый раствор Б). В качестве раствора сравнения использовали раствор, полученный следующим образом: 1 мл испытуемого раствора А помещают в мерную колбу вместимостью 50 мл и доводят объем раствора 96 % этиловым спиртом до метки.
Примечание: Приготовление раствора выделенного вещества. Около 0,0025 г (точная навеска) предварительно высушенного мирицитрина (содержание основного вещества ≥98 %) помещают в мерную колбу вместимостью 25 мл, растворяют в 15 мл 80 % этилового спирта при нагревании на водяной бане. После охлаждения содержимого колбы до комнатной температуры доводят объем раствора 80 % этиловым спиртом до метки (раствор А мирицитрина). 5 мл раствора А мирицитрина помещают в мерную колбу вместимостью 25 мл, прибавляют 2 мл 3 % спиртового раствора алюминия хлорида и доводят объем раствора до метки 96 % этиловым спиртом (испытуемый раствор Б мирицитрина).
Содержание суммы флавоноидов в пересчете на мирицитрин и абсолютно сухое сырье в процентах (X) вычисляют по формуле:
где D — оптическая плотность испытуемого раствора; Do — оптическая плотность раствора СО мирицитрина; V — объем настойки, взятой для анализа, мл; mo — масса СО мирицитрина, г.
В случае отсутствия стандартного образца мирицитрина целесообразно использовать теоретическое значение удельного показателя поглощения — 432 при длине волны 416 нм:
где D — оптическая плотность испытуемого раствора; V — объем настойки, взятой для анализа, мл; 432 — удельный показатель поглощения () мирицитрина при 416 нм.
Метрологические характеристики методики количественного определения содержания суммы флавоноидов в настойке ореха черного представлены в табл. 2.
Таблица 2. Метрологические характеристики методик количественного определения суммы флавоноидов в настойке коры ореха черного / Table 2. Metrological characteristics of the method of quantitative determination of the total of flavonoids from the tinctura Juglans nigra bark
n | f | S | P, % | t (P, f) | ∆ | E, % | ||
11 | 10 | 0,84 | 0,03357 | 0,01012 | 95 | 2,23 | ±0,07 | ±8,91 |
Результаты статистической обработки проведенных опытов свидетельствуют, что ошибка единичного определения суммы флавоноидов в настойке коры ореха черного с доверительной вероятностью 95 % составляет ±8,91 % (табл. 2).
Валидационную оценку разработанной методики проводили по показателям: специфичность, линейность, правильность и воспроизводимость. Специфичность методики определялась по соответствию максимумов поглощения комплекса флавоноидов коры ореха черного и выделенного вещества с алюминием хлоридом. Линейность методики определяли для серии растворов мирицитрина (с концентрациями в диапазоне от 0,00795 до 0,02385 мг/мл). Коэффициент корреляции составил 0,99974.
Правильность методики определяли путем добавок раствора доминирующего соединения с известной концентрацией (25, 50 и 75 %) к испытуемому раствору настойки. При этом средний процент восстановления составил 96 %. Опыты с добавками СО мирицитрина к навеске сырья показали, что ошибка анализа находится в пределах ошибки единичного определения, что свидетельствует об отсутствии систематической ошибки разработанной методики (опыты с добавками) (табл. 3).
Таблица 3. Содержание суммы флавоноидов в настойке коры ореха черного в зависимости от добавления мирицитрина / Table 3. The content of the total of flavonoids in the tincture of the Juglans nigra bark depending on the addition of myricitrin
Исходное содержание суммы флавоноидов, мг/г | Добавление мирицитрина, мг/г | Содержание суммы флавоноидов, мг/г | Ошибка | ||
расчетное | найденное | абсолютная, мг | относительная, % | ||
5,0 | 1,25 | 6,25 | 6,05 | –0,2 | –3,2 |
5,0 | 2,5 | 7,5 | 7,9 | +0,4 | +5,33 |
5,0 | 3,75 | 8,75 | 8,45 | –0,3 | –3,43 |
Содержание суммы флавоноидов, определенное методом дифференциальной спектрофотомерии при аналитической длине волны 416 нм, в исследуемых образцах настойки коры ореха черного составило 0,84 ± 0,07 % (в пересчете на мирицитрин).
При анализе методом ВЭЖХ определено, что в указанных условиях хроматографирования при использовании системы ацетонитрил – вода в соотношении 2 : 8 в испытуемом растворе настойки возможно идентифицировать анализируемый компонент — мирицитрин (рис. 7, 9). Кроме того, выявлено, что в системе ацетонитрил – вода в соотношении 2 : 8 возможно идентифицировать агликон мирицитрина — мирицетин (рис. 8, 9).
Рис. 7. Высокоэффективная жидкостная хроматограмма мирицитрина / Fig. 7. High performance liquid chromatogram of myricitrin
Рис. 8. Высокоэффективная жидкостная хроматограмма мирицетина / Fig. 8. High performance liquid chromatogram of myricetin
Рис. 9. Высокоэффективная жидкостная хроматограмма испытуемого раствора настойки коры ореха черного: 1 — мирицитрин; 2 — мирицетин / Fig. 9. High performance liquid chromatogram of test solutions of tincture with Juglans nigra bark: 1 — myricitrin; 2 — myricetin
Время удерживания пиков мирицитрина и мирицетина на хроматограмме рабочего стандартного образца мирицитрина, а также в испытуемых растворах настойки и сухого экстракта коры ореха черного представлены в табл. 4.
Таблица 4. Времена удерживания пиков флавоноидов настойки коры ореха черного / Table 4. Peaks retention time of the tincture of the Juglans nigra bark
Флавоноид | Время удерживания на хроматограмме, мин | ||
стандартный образец | настойка | сухой экстракт | |
Мирицитрин (1) | 7,326 | 6,951 | 6,741 |
Мирицетин (2) | 14,211 | 18,909 | 17,277 |
Добавление раствора мирицитрина (1) и мирицетина (2) в испытуемые растворы настойки и сухого экстракта коры ореха черного проявляется на хроматограмме увеличением интенсивности пика мирицитрина и пика мирицетина соответственно по сравнению с таковой флавоноидов 1 и 2 в исходном испытуемом растворе (рис. 10).
Рис. 10. Высокоэффективная жидкостная хроматограмма испытуемого раствора настойки коры ореха черного с добавлением мирицитрина (1) и мирицетина (2) / Fig. 10. High performance liquid chromatogram of the studied solution of the tincture of the Juglans nigra bark with the addition of myricitrin (1) and myricetin (2)
Принимая во внимание невысокое содержание мирицетина в извлечении по сравнению с мирицитрином, считаем целесообразным количественный анализ осуществлять только по мирицитрину. Зависимость площади хроматографического пика от концентрации мирицитрина описывалась линейной регрессией в диапазоне концентраций от 250 до 1500 мкг/мл (рис. 11), предел количественного определения составил 140 мкг/мл. Точность методики количественного определения для настойки коры ореха черного составила 94,72–104,79 % (табл. 5).
Рис. 11. График зависимости площади пика от концентрации мирицитрина в пробе и уравнение линейной регрессии / Fig. 11. Chart of the dependence of the peak area on the concentration of myricitrin in the sample and the equation of linear regression
Таблица 5. Результаты определения правильности методики / Table 5. Correctness of the technique: determination findings
Исходное содержание суммы мирицитрина, мг/г | Добавление мирицитрина, мг/г | Содержание мирицитрина, мг/г | Ошибка | ||
расчетное | найденное | абсолютная, мг | относительная, % | ||
2,40 | 1,90 | 4,30 | 4,14 | –0,16 | –3,72 |
2,40 | 2,40 | 4,80 | 4,57 | +0,23 | +4,79 |
2,40 | 2,90 | 5,30 | 5,02 | –0,28 | –5,28 |
Методика количественного определения мирицитрина в настойке коры ореха черного. 5,00 мл настойки коры ореха черного помещают в мерную колбу вместимостью 25 мл, доводят объем раствора до метки 96 % этиловым спиртом (испытуемый раствор А). Испытуемый раствор А предварительно фильтруют через мембранный фильтр Milipore (0,45 мкм).
В жидкостной хроматограф «Милихром-6» (НПАО «Научприбор») с УФ-детектором вводят 4 мкл полученного раствора. Хроматографируют в условиях обращенно-фазовой хроматографии в изократическом режиме на стальной колонке КАХ-6-80-4 (№ 2; 2 × 80 мм; Сепарон-C18 7 мкм), элюентная система ацетонитрил – вода в соотношении 2 : 8 с добавлением 1 % уксусной кислоты, скорость элюирования — 100 мкл/мин, объем элюента — 2500 мкл. Рабочая длина волны 360 нм, диапазон чувствительности 0,5.
Параллельно 4 мкл СО мирицитрина вводят в хроматограф и хроматографируют, как описано выше. Проводят не менее 3 параллельных определений для испытуемого раствора настойки и стандартного раствора мирицитрина. Указанные пробы вводят в хроматограф и хроматографируют, как описано выше. Идентифицируют пик мирицитрина на хроматограммах испытуемого раствора. Вычисляют среднюю площадь пика мирицитрина на хроматограммах раствора СО мирицитрина и испытуемого раствора по результатам трех определений.
Содержание мирицитрина в настойке коры ореха черного в пересчете на абсолютно сухое сырье в процентах (X) вычисляли по формуле:
где S — среднее значение площади пика мирицитрина на хроматограмме испытуемого раствора; S0 — среднее значение площади пика мирицитрина на хроматограмме стандартного раствора; V — объем извлечения, мл; V1 — объем вводимой пробы раствора испытуемого образца, мкл; V0 — объем раствора СО мирицитрина, мл; V2 — объем вводимой пробы раствора СО мирицитрина, мкл; Vн — объем настойки, взятой для анализа, мл; m0 — масса СО мирицитрина, г; 0,98 — содержание основного вещества в СО мирицитрина.
Содержание мирицитрина в настойке коры ореха черного — 0,42 ± 0,06 %. Результаты оценки промежуточной прецизионности разработанной методики при анализе 11 проб образцов из одной серии сырья свидетельствуют об удовлетворительной воспроизводимости результатов анализа. Ошибка единичного определения содержания мирицитрина в настойке коры ореха черного с доверительной вероятностью 95 % составляет ±15,04 % (табл. 6).
Таблица 6. Оценка промежуточной прецизионности методики количественного определения мирицитрина в коре ореха черного / Table 6. Еstimation of the intermediate precision of the quantitative determination method (myricitrin fin the tincture of the Juglans nigra bark)
Образец | f | S | P, % | t (P, f) | ∆ | E, % | |
Настойка коры ореха черного | 10 | 0,42 | 0,02834 | 95 | 2,23 | ±0,06 | ±15,04 |
Таким образом, результаты проведенных спектральных и хроматографических исследований свидетельствуют о целесообразности стандартизации настойки коры ореха черного путем определения суммы флавоноидов в пересчете на мирицитрин с использованием метода УФ-спектрофотометрии при длине волны 416 нм. Кроме того, обоснована методика количественного определения содержания доминирующего и диагностически значимого флавоноида — мирицитрина с использованием методов ТСХ, ВЭЖХ и детектированием на УФ-детекторе при длине волны 360 нм.
Выводы
- С помощью метода ТСХ определены основные группы биологически активных веществ настойки ореха черного, необходимые для идентификации указанного препарата. Определено, что доминирующим флавоноидом настойки коры ореха черного является мирицитрин с величиной Rf ≈ 0,4.
- Разработана методика количественного определения суммы флавоноидов в настойке коры ореха черного методом дифференциальной спектрофотометрии с использованием СО мирицитрина при аналитической длине волны 416 нм.
- Содержание суммы флавоноидов для настойки коры ореха черного составляет 0,84 ± 0,07. Ошибка единичного определения с доверительной вероятностью 95 % — ±8,91 %.
- Разработана методика количественного определения мирицитрина в настойке коры ореха черного методом ВЭЖХ.
- Содержание доминирующего флавоноида — мирицитрина (мирицетин-3-O-α-L-рамнопиранозид) в настойке коры ореха черного 0,42 ± 0,06 %. Ошибка единичного определения мирицитрина в коре ореха черного с доверительной вероятностью 95 % составляет ±15,04 %.
Авторы заявляют об отсутствии конфликта интересов.
About the authors
Natalya I. Zimenkina
Samara State Medical University
Author for correspondence.
Email: n.i.zimenkina@samsmu.ru
Postgraduate student, Department of Pharmacognosy with Botany and Bases of Phytotherapy
Russian Federation, SamaraVladimir A. Kurkin
Samara State Medical University
Email: v.a.kurkin@samsmu.ru
Doctor of Pharmaceutical Sciences, Professor, Head of the Department of Pharmacognosy with Botany and Bases of Phytotherapy
Russian Federation, SamaraReferences
- Belenovskaya LM, Budantsev AL. Naphthoquinones of Russian flora species and their biological activity. Rastitelnye resursy. 2006;42(4):108–141. (In Russ.)
- Gubanov IA, Krylova IL, Tikhonova VL. Dikorastushchiye poleznyye rasteniya SSSR. Мoscow: Mysl’; 1976. P. 81–85. (In Russ.)
- Dayronas JV, Zilfikarov IN. Orekh gretskiy – perspektivnoye lekarstvennoye rasteniye (obzor literatury). Proceedings of the II Russian Phytotherapheutic Congress; Oct 22–23, 2010; Moscow. Traditsionnaya meditsina. 2010;3(22):118–123. (In Russ.)
- Dayronas JV, Zilfikarov IN. Spektrofotometricheskoye opredeleniye proizvodnykh yuglona v list’yakh orekha gretskogo. Proceedings of the All-Russian Scientific and Practical Conference “Sovremennaya farmatsevticheskaya nauka i praktika: traditsii, innovatsii, prioritety”; May 24-26, 2011. Samara; 2011. P. 113–114. (In Russ.)
- Dayronas JV, Zilfikarov IN, Korochinsky AV, Korochinskaya VV. Determination of naphthoquinones in the raw material and phytopreparation of black walnut (Juglans nigra L). Farmatsiya. 2013;(4):12–14. (In Russ.)
- Kurkin VA. Farmakognoziya: uchebnik dlya studentov farmacevticheskikh vuzov. 4th ed. Samara; 2019. (In Russ.)
- Kurkina AV. Flavonoidy farmakopeynykh rasteniy: monografiya. Samara; 2012. (In Russ.)
- Bandele OJ, Clawson SJ, Osheroff N. Dietary polyphenols as topoisomerase II poisons: B ring and C ring substituents determine the mechanism of enzyme-mediated DNA cleavage enhancement. Chem Res Toxicol. 2008;21(6):1253–1260. doi: 10.1021/tx8000785
- Constantinou A, Mehta R, Runyan C, et al. Flavonoids as DNA topoisomerase antagonists and poisons: structure-activity relationships. J Nat Prod. 1995;58(2):217–225. doi: 10.1021/np50116a009
- Kumamoto T, Fujii M, Hou DX. Myricetin directly targets JAK1 to inhibit cell transformation. Cancer Lett. 2009;275(1):17–26. doi: 10.1016/j.canlet.2008.09.027
- Paudel P, Satyal P, Dosoky NS, et al. Juglans regia and J. nigra, two trees important in traditional medicine: A comparison of leaf essential oil compositions and biological activities. Nat Prod Commun. 2013;8(10):1481–1486.
Supplementary files














