Изучение состава фенольных соединений листьев тополя черного
- Авторы: Куприянова Е.А.1, Куркин В.А.1
-
Учреждения:
- ФГБОУ ВО «Самарский государственный медицинский университет» Минздрава России
- Выпуск: Том 19, № 5-6 (2019)
- Страницы: 128-134
- Раздел: 14.01.00 Клиническая медицина
- Статья опубликована: 28.05.2020
- URL: https://aspvestnik.ru/2410-3764/article/view/34218
- DOI: https://doi.org/10.17816/2072-2354.2019.19.3.128-134
- ID: 34218
Цитировать
Полный текст
Аннотация
В настоящей работе приведены результаты исследований состава фенольных соединений листьев тополя черного (Populus nigra L.). Методами экстракции и последующей адсорбционной колоночной хроматографии на силикагеле и на полиамидном сорбенте из листьев тополя черного впервые выделены такие флавоноидные соединения, как календофлавобиозид (кверцетин-3-О-неогесперидозид), рутин (кверцетин-3-О-рутинозид), а также феруловая кислота (фенилпропаноид). Полученные вещества были охарактеризованы с использованием УФ-, 1Н ЯМР-, 13С ЯМР-спектроскопий и масс-спектрометрии, а также результатов кислотного гидролиза. Флавоноиды являются доминирующими фенольными компонентами сырья исследуемого растения.
Ключевые слова
Полный текст
Введение
В настоящее время на территории Российской Федерации почки тополя являются фармакопейным сырьем и используются в официнальной медицине в качестве средства, обладающего антибактериальным, противовоспалительным, противогрибковым и ранозаживляющим действием [2, 4, 5, 7].
Известно, что сок свежих листьев тополя черного применяют в народной медицине при зубной боли и для успокаивающих ванн, а также в качестве антибактериального средства [5]. Поэтому наряду с почками тополя черного перспективным источником биологически активных соединений являются листья.
В литературе имеются данные о содержании в листьях тополя черного простых фенолов (салицин, саликортин, ниграцин, популин), фенилпропаноидов (3-О-β-D-глюкопиранозид кофейной кислоты, лигнаны), дубильных веществ, витаминов (С, Е), каротиноидов (неоксантин, виолаксантин, лютеин), органических кислот — муравьиной, щавелевой, малоновой, глицериновой, янтарной, фумаровой, яблочной, винной, α-кетоглутаровой, лимонной, хинной [2, 5]. Несмотря на имеющиеся литературные данные относительно компонентного состава листьев тополя черного, представляется актуальным дальнейшее изучение химического состава данного сырья как перспективного отечественного источника лекарственных препаратов [1, 2].
Целью настоящей работы является изучение состава фенольных соединений листьев тополя черного.
Результаты и их обсуждение
В июне 2018 г. в Самарской области были собраны и высушены образцы листьев тополя черного (Populus nigra L.). 100 г воздушно-сухого сырья экстрагировали 70 % этиловым спиртом, осуществляя вначале две экстракции при комнатной температуре в течение 24 ч, а затем при нагревании на кипящей водяной бане в течение 30 мин. Объединенное водно-спиртовое извлечение упаривали под вакуумом до объема 50 мл, смешивали с 30 г силикагеля L 40/100 и высушивали. Высушенный порошок (сухой экстракт + силикагель) наносили на слой силикагеля (диаметр — 8 см, высота — 5 см), сформированный в виде взвеси в хлороформе. Хроматографическую колонку элюировали хлороформом и смесью хлороформ – этанол в различных соотношениях (97 : 3; 95 : 5; 93 : 7; 90 : 10; 85 : 15; 80 : 20; 75 : 25; 70 : 30; 60 : 40). Контроль за разделением веществ осуществляли с помощью тонкослойного хроматографического анализа (ТСХ) на пластинках Сорбфил ПТСХ-АФ-А-УФ в системах хлороформ – этанол – вода (26 : 16 : 3), а также н-бутанол – ледяная уксусная кислота – вода (4 : 1 : 2). Фракции, содержащие вещество 1, были объединены, выпавший из них осадок был отделен и перекристаллизован из водного спирта. При этом получено соединение (1) с выходом 0,4 % массы воздушно-сухого сырья. Фракции, содержащие вещество 2, были объединены, выпавший из них осадок был отделен и перекристаллизован из водного спирта. При этом получено соединение (2) с выходом 0,5 % массы воздушно-сухого сырья. Фракции, содержащие соединения (4), наносили на полиамид Wolem с целью дальнейшей очистки. Сухой порошок (экстракт + полиамид) переносили в хроматографическую колонку (высота сорбента — 5,0 см, диаметр — 4 см). Соответствующую хроматографическую колонку элюировали водой и водным раствором спирта этилового (20, 40, 70, 96 %). В результате проведенной очистки на колонках с полиамидом было получено вещество 4 с выходом 0,05 % от массы воздушно-сухого сырья (элюент — 40 % этиловый спирт), дополнительную очистку которых удалось провести путем перекристаллизации из водного спирта. Вещества и соединения (1 — каледнофлавобиозид, 2 — рутин, 3 — кверцетин, 4 — феруловая кислота) указаны в тексте и далее, при описании спектральных характеристик, в круглых скобках; на рис. 1–4 представлены структурные формулы каждого соединения.
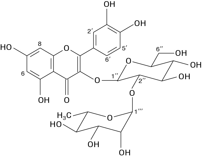
Рис. 1. Структурная формула 3-О-неогесперидозид кверцетина (календофлавобиозид) (1)
Fig. 1. Structural formula of quercetin-3-O-neohesperidoside (сalendoflavobioside) (1)
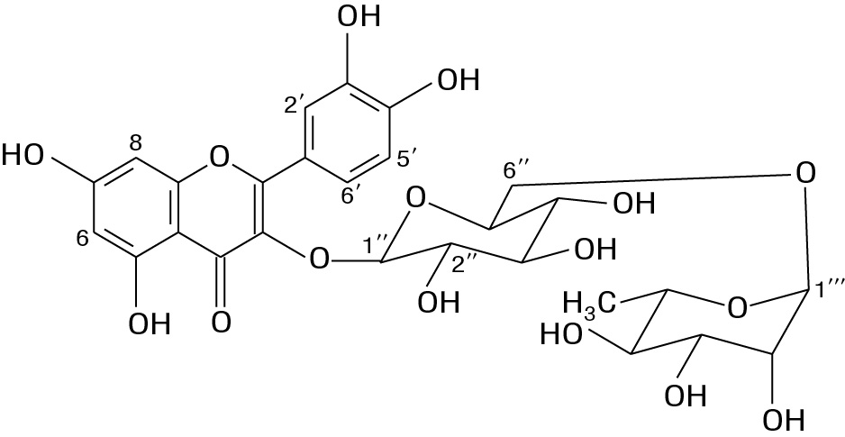
Рис. 2. Структурная формула 3-О-рутинозид кверцетина (рутин) (2)
Fig. 2. Structural formula of quercetin-3-O-rutinoside (rutin) (2)
Рис. 3. Структурная формула кверцетина (3)
Fig. 3. Structural formula of quercetin (3)
Рис. 4. Структурная формула феруловой кислоты (4)
Fig. 4. Structural formula of ferulic acid (4)
Спектры ЯМР 1Н получали на приборе Bruker AM 300 (300 МГц), спектры ЯМР 13С — на приборе Bruker DRX 500 (126,76 МГц), масс-спектры снимали на масс-спектрометре Kratos MS-30, регистрацию УФ-спектров проводили с помощью спектрофотометра Specord 40 (Analytik Jena).
Кислотный гидролиз флавоноидов 1 и 2 осуществляли в 2 % растворе хлористоводородной кислоты при нагревании на кипящей водяной бане в течение 2 часов, в результате чего из веществ 1 и 2 получено и идентифицировано вещество 3 — кверцетин.
3-О-Гесперидозид кверцетина (календофлавобиозид) (1) (рис. 1). Кристаллическое вещество желтого цвета. С27Н30О16. Т. пл. 194–196 °С (водный спирт). УФ-спектр, λmax, EtOH: 257, 266 пл, 363 нм; + NaOAc 270, 303, 372 нм; + NaOAc + + H3BO3 271, 304, 385 нм; + AlCl3 273, 304, 360, 416 нм; + AlCl3 + HCl 273, 304, 360, 404 нм; + NaOMe 275, 420 нм.
Спектр ЯМР 1Н (300 МГц, ДМСО-d6, δ, м. д.): 12,59 (1H, c, 5-ОН-группа), 10,75 (1Н, с, 7-ОН), 9,60 (1Н, с, 4ʹ-ОН-группа), 9,17 (1Н, с, 3ʹ-ОН-группа), 7,52 (1Н, дд, J 2,5 и 9 Гц, Н-6ʹ), 7,50 (1Н, д, J 9 Гц, Н-2ʹ), 6,83 (д, J 9 Гц, Н-5ʹ), 6,38 (д, J 2,5 Гц, Н-8), 6,19 (д, J 2,5 Гц, Н-6), 5,32 (1H, д, J 7 Гц, Н-1ʹʹ глюкозы), 4,37 (1H, д, уш. с, Н-1ʹʹʹ рамнозы), 4,3–3,0 (10H, м, 6Н глюкозы + 4Н рамнозы), 0,98 (1H, д, J 6 Гц, 3Н, СН3 рамнозы).
Спектр ЯМР 13С (126,76 МГц, ДМСО-d6, δС, м. д.): 156,57 (С-2), 133,28 (С-3), 177,34 (С-4), 161,19 (С-5), 98,65 (С-6), 164,06 (С-7), 93,55 (С-8), 156,40 (С-9), 103,64 (С-10), 116,24 (С-1ʹ), 121,15 (С-2ʹ), 144,72 (С-3ʹ), 148,39 (С-4ʹ), 115,29 (С-5ʹ), 121,56 (С-6ʹ), 100,72 (С-1ʹʹ глюкозы), 72,36 (С-2ʹʹ), 77,89 (С-3ʹʹ), 71,83 (С-4ʹʹ), 76,83 (С-5ʹʹ), 61,07 (С-6ʹʹ), 101,16 (С-1ʹʹʹ рамнозы), 70,75 (С-2ʹʹʹ), 71,94 (С-3ʹʹʹ), 74,05 (С-4ʹʹʹ), 68,21 (С-5ʹʹʹ), 17,70 (С-6ʹʹʹ, СН3 рамнозы) (рис. 7).
Рис. 5. Спектр ЯМР 1Н рутина (2)
Fig. 5. 1H-NMR spectrum of rutin (2)
Рис. 6. Спектр ЯМР 1Н феруловой кислоты (4)
Fig. 6. 1H-NMR spectrum of ferulic acid (4)
Рис. 7. Спектр ЯМР 13С календофлавобиозида (1)
Fig. 7. 13С-NMR spectrum of сalendoflavobioside (1)
Рис. 8. Спектр ЯМР 13С рутина (2)
Fig. 8. 13С-NMR spectrum of rutin (2)
Масс-спектр (ESI-MS, 180 °С, m/z): М+ 611 (610 + Н), М+ 633 (610 + Nа), М+ 649 (610 + K) (рис. 9).
Рис. 9. Масс-спектр календофлавобиозида (1)
Fig. 9. Mass-spectrum of сalendoflavobioside (1)
3-О-Рутинозид кверцетина (рутин) (2) (рис. 2). Кристаллическое вещество желтого цвета. С27Н30О16. Т. пл. 192–194 °С (водный спирт). УФ-спектр, λmax, EtOH: 258, 266 (пл), 362 нм; + NaOAc 270, 303, 370 нм; + NaOAc + + H3BO3 270, 303, 384 нм; + AlCl3 273, 304, 360, 418 нм; + AlCl3 + HCl 273, 304, 360, 403 нм; + NaOMe 275, 419 нм.
Спектр ЯМР 1Н (300 МГц, ДМСО-d6, δ, м. д.): 12,59 (1H, c, 5-ОН-группа), 10,80 (1Н, с, 7-ОН-группа), 9,65 (1Н, с, 4ʹ-ОН-группа), 9,15 (1Н, с, 3ʹ-ОН-группа), 7,52 (1Н, дд, J 2,5 и 9 Гц, Н-6ʹ), 7,50 (1Н, д, J 9 Гц, Н-2ʹ), 6,82 (д, J 9 Гц, Н-5ʹ), 6,38 (д, J 2,5 Гц, Н-8), 6,18 (д, J 2,5 Гц, Н-6), 5,35 (1H, д, J 7 Гц, Н-1ʹʹ глюкозы), 4,35 (1H, д, уш. с, Н-1ʹʹʹ рамнозы), 5,2–3,0 (10H, м, 6Н глюкозы + 4Н рамнозы), 0,98 (3H, д, J 6 Гц, СН3 рамнозы) (рис. 5).
Спектр ЯМР 13С (126,76 МГц, ДМСО-d6, δС, м. д.): 156,60 (С-2), 133,30 (С-3), 177,36 (С-4), 161,21 (С-5), 98,67 (С-6), 164,06 (С-7), 93,58 (С-8), 156,41 (С-9), 103,96 (С-10), 116,26 (С-1ʹ), 121,18 (С-2ʹ), 144,77 (С-3ʹ), 148,40 (С-4ʹ), 115,22 (С-5ʹ), 121,58 (С-6ʹ), 100,72 (С-1ʹʹ глюкозы), 71,25 (С-2ʹʹ), 75,90 (С-3ʹʹ), 70,56 (С-4ʹʹ), 76,45 (С-5ʹʹ), 66,89 (С-6ʹʹ), 101,16 (С-1ʹʹʹ рамнозы), 70,56 (С-2ʹʹʹ), 70,37 (С-3ʹʹʹ), 74,07 (С-4ʹʹʹ), 68,23 (С-5ʹʹʹ), 17,72 (С-6ʹʹʹ, СН3 рамнозы) (рис. 8).
Масс-спектр (ESI-MS, 180 °С, m/z): М+ 611 (610 + Н), М+ 633 (610 + Nа), М+ 649 (610 + K) (рис. 9).
Кверцетин (3,5,7,3ʹ,4ʹ-пентагидроксифлавон) (3) (рис. 3). Кристаллическое вещество ярко желтого цвета. С15Н10О7. Т. пл. 310–313 °С (водный спирт). УФ-спектр, λmax, EtOH: 256, 267 (пл), 372 нм; + NaOAc 270, 303, 380 нм; + NaOAc + H3BO3 271, 304, 385 нм; + AlCl3 275, 304, 360, 435 нм; + AlCl3 + HCl 275, 304, 360, 415 нм; + NaOMe 275, 430 нм.
Феруловая кислота (4) (рис. 4). Кристаллическое вещество белого цвета. С10Н10О4. Т. пл. 168–170 °C (водный спирт). УФ-спектр, λmax, EtOH: 217, 242, 290 (пл), 322 нм.
Спектр ЯМР 1Н (300 МГц, ДМСО-d6, δ, м. д.): 9,18 (1Н, с, 4-ОН-группа), 7,45 (д, J 16 Гц, Н-7), 7,08 (1Н, дд, J 2.5 и 9 Гц, Н-6), 7,03 (д, J 2,5 Гц, Н-2), 6,93 (д, J 9 Гц, Н-5), 6,24 (1Н, д, J 16 Гц, Н-8), 3,80 (3Н, с, СН3О-группа) (рис. 6).
Масс-спектр (ESI-MS, 180 °С, m/z): М+ 195 (194 + Н).
В результате проведенных исследований из листьев тополя черного выделены соединения 1 и 2 (флавоноиды) (рис. 1, 2), а также феруловая кислота (4) (рис. 4).
В спектре ЯМР 1Н соединений (1) и (2) (спектры идентичны) обнаружены сигналы ароматических протонов, характерные для замещения молекулы флавоноида в положениях С-5 и С-7 (кольцо А), а также в положениях С-3ʹ и С-4ʹ (кольцо В) (рис. 1, 2). Наличие свободной гидроксильной группы при С-5 в соединениях (1) и (2) подтверждается данными спектров ЯМР 1Н: однопротонные синглетные сигналы при 12,59 м. д. (рис. 5). Свободная группа 7-ОН подтверждается реакцией с ацетатом натрия (батохромный сдвиг в УФ-спектре коротковолновой полосы более чем на 10 нм) [10]. О наличии свободной орто-дигидроксигруппировки при С-3ʹ и С-4ʹ свидетельствует батохромный сдвиг в УФ-спектре длинноволновой полосы на 22 нм при добавлении раствора борной кислоты [10].
В результате кислотного гидролиза соединений 1 и 2 образуется агликон, идентифицированный как кверцетин (3,5,7,3ʹ,4ʹ-пентгидроксифлавон) (3), который, в отличие от исходных гликозидов, в присутствии раствора алюминия хлорида дает больший батохромный сдвиг в УФ-спектре длинноволновой полосы — с 372 до 435 нм.
Следовательно, соединения (1) и (2) гликозилированы по группе 3-ОН. В кислотном гидролизате обоих соединений обнаруживаются моносахариды — глюкоза и рамноза. Принципиальным различием соединений (1) и (2) является то обстоятельство, что в их спектрах ЯМР 13С имеют место различные значения химсдвигов С-6ʹʹ глюкозы: 61,07 и 66,89 м. д., что свидетельствует о присоединении рамнозы соответственно к группе 2ʹʹ-ОН глюкозы в соединении (1) (биоза — неогесперидоза), а в соединении (2) — к СН2ОН глюкозы (биоза — рутиноза) (рис. 7, 8).
Следовательно, соединение (1) имеет строение кверцетин-3-О-(2ʹʹ-α-L-рамнопиранозил)-β-D-глюкопиранозида (календофлавобиозида), а соединение (2) — кверцетин-3-О-(6ʹʹ-α-L-рамнопиранозил)-β-D-глюкопиранозида (рутина).
Заключение
Соединения (1), (2) и (4), идентифицированные нами на основании данных УФ, ЯМР 1Н, ЯМР 13С и масс-спектров, а также результатов кислотного гидролиза как календофлавобиозид (1) [3, 9], рутин (2) [8] и феруловая кислота (4), впервые выделены из листьев тополя черного. Календофлавобиозид (1) был ранее выделен из соцветий календулы лекарственной [3, 9]. Феруловая кислота (4) описана для почек тополя черного, листьев и коры тополя дрожащего [2, 6].
Авторы заявляют об отсутствии конфликта интересов.
Об авторах
Елена Александровна Куприянова
ФГБОУ ВО «Самарский государственный медицинский университет» Минздрава России
Автор, ответственный за переписку.
Email: lenoka-09@mail.ru
аспирант кафедры фармакогнозии с ботаникой и основами фитотерапии
Россия, СамараВладимир Александрович Куркин
ФГБОУ ВО «Самарский государственный медицинский университет» Минздрава России
Email: Kurkinvladimir@yandex.ru
доктор фармацевтических наук, профессор, заведующий кафедрой фармакогнозии с ботаникой и основами фитотерапии
Россия, СамараСписок литературы
- Азнагулова А.В. Особенности стандартизации нового вида лекарственного растительного сырья – травы одуванчика лекарственного (Taraxacum officinale Wigg.) // Аспирантский вестник Поволжья. – 2014. – № 5-6. – С. 150–151. [Aznagulova AV. Special features of standardization of new raw material – dandelion herb (Taraxacum officinale Wigg). Aspirantskiy vestnik Povolzhiya. 2014;(5-6):150-151. (In Russ.)]
- Браславский В.Б. Ива, тополь и прополис в медицине и фармации: монография. – Самара: Офорт, 2012. – 116 с. [Braslavskiy VB. Iva, topol’ i propolis v meditsine i farmatsii: monografiya. Samara: Ofort; 2012. 116 p. (In Russ.)]
- Комиссаренко Н.Ф., Чернобай В.Т, Деркач А.И. Флавоноиды соцветий Calendula officinalis // Химия природных соединений. – 1988. – № 6. – С. 795–800. [Komissarenko NF, Chernobai VT, Derkach AI. Flavonoids of inflorescences of Calendula officinalis. Khimiya prirodnykh soedineniy. 1988;(6):795-800. (In Russ.)]
- Правдивцева О.Е. Фармакогностическое исследование по созданию антимикробных и противовоспалительных средств на основе некоторых видов рода Populus L: Автореф. дис. ... канд. фарм. наук. – М., 2001. – 24 с. [Pravdivceva OE. Farmakognosticheskoe issledovanie po sozdaniyu antimikrobnyh i protivovospalitel’nyh sredstv na osnove nekotoryh vidov roda Populus L. [dissertation abstract] Moscow; 2001. 24 p. (In Russ.)]. Доступно по: http://webirbis.spsl.nsc.ru/irbis64r_01_agro/cgi/cgiirbis_64.exe?Z21ID=&I21DBN=BI_PRINT&P21DBN=BI&S21STN=1&S21REF=&S21FMT=FULLW_print&C21COM=S&S21CNR=555&S21P01=0&S21P02=1&S21P03=A=&S21STR=%D0%9F%D1%80%D0%B0%D0%B2%D0%B4%D0%B8%D0%B2%D1%86%D0%B5%D0%B2%D0%B0,%20%D0%9E.%20%D0%95. Ссылка активна на 23.09.2019.
- Растительные ресурсы СССР. Цветковые растения, их химический состав, использование. Семейства Paeoniaceae – Thymelaeaceae. – Л.: Наука, 1986. – С. 105–114. [Plant resources of the USSR. Flowering plants, their chemical composition, use. Family Paeoniaceae – Thymelaeaceae. Leningrad: Nauka; 1986. Pр. 105-114. (In Russ.)]
- Турецкова В.Ф., Лобанова И.Ю., Рассыпнова С.С., Талыкова Н.М. Осина обыкновенная как перспективный источник получения препаратов противоязвенного и противовоспалительного действия // Бюллетень сибирской медицины. – 2011. – № 5. – С. 106–111. [Tureckova VF, Lobanova IYu, Rassypnova SS, Talykova NM. Populus tremula L. as a perspective source of preparations antiulcerous and anti-inflammatory activity. Bulletin of Siberian Medicine. 2011;(5):106-111. (In Russ.)]
- Флора СССР. Ивовые, березовые, гречишные и др. Т. 5. / Под ред. В.Л. Комарова. – М.; Л.: Изд-во Академии наук СССР, 1936. – 762 с. [Flora SSSR. Ivovye, berezovye, grechishnye i dr. Vol. 5. Ed. by V.L. Komarov. Moscow; Leningrad: Izd-vo Akademii nauk SSSR; 1936. 762 p. (In Russ.)]
- Akkola EK, Süntara I, Keleşb H, et al. Bioassay-guided isolation and characterization of wound healer compounds from Morusnigra L. (Moraceae). Rec Nat Prod. 2015;9(4):484-495.
- Komissarenko NF, Chernobai VT, Derkach AI. Flavonoids of inflorescences of Calendula officinalis. Chemistry of Natural Compounds. 1988;24(6):675-680. https://doi.org/10.1007/bf00598181.
- Mabry TJ, Markham KR, Thomas MB. The systematic identification of flavonoids. Berlin-Heidelberg-New York: Springer Verlag; 1970. 354 p.
Дополнительные файлы












